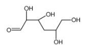
cas:23397-23-1, 4-脱氧-D-葡萄糖, 4-Deoxy-D-glucose
发布时间:2024-05-30     作者:zyl   分享到:
英文名 4-Deoxy-D-xylo-hexose
4-Deoxy-D-xylo-hexose物理化学性质
分子式 C6H12O5
分子量 164.15600
质量 164.06800
PSA 97.99000
用途:科研
状态:固体/粉末/溶液
产地:西安
储存时间:1年
保存:冷藏
地址:西安
厂家:西安齐岳生物科技有限公司
温馨提醒:仅供科研,不能用于人体实验

西安齐岳生物供应一批糖基供体包括UDP-葡萄糖,此外还有UDP-半乳糖、UDP-鼠李糖、UDP-木糖和UDP-葡萄糖醛酸等产品,也提供UDP(尿苷二磷酸)、CMP(5'-单磷酸胞苷)、GDP(二磷酸鸟嘌呤核苷)偶联修饰单糖/多糖(阿洛糖、阿卓糖、阿拉伯糖、赤藓糖、果糖、岩藻糖、古洛糖、艾杜糖、来苏糖、甘露糖、鼠李糖、核糖、塔罗糖、苏阿糖、木糖\木聚糖、壳聚糖),提供提供单糖/寡糖/多糖/糖类/糖苷/糖脂/糖科研/低聚糖的羧基化、氨基化、脱水脱氧化、卤素化等定制合成服务。
相关产品:
UDP-N-乙酰半乳糖胺
GDP-L-岩藻糖
鸟苷5'-(二磷酸三氢)P'-D-吡喃甘露糖酯二钠盐
5`-单磷酸腺嘌呤核苷-唾液酸二钠盐
尿苷二磷酸葡糖醛酸




齐岳微信公众号
官方微信
库存查询