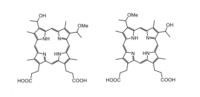
cas:148471-91-4|血卟啉单甲醚|Hematoporphyrin monomethyl Ethe
西安齐岳生物是一家科研材料供应商,我们可提供卟啉配合物,卟啉化合物、卟啉衍生物,卟啉荧光探针、卟啉光敏剂、卟啉聚合物、卟啉功能化材料、卟啉mof,cof骨架材料。
名称:血卟啉单甲醚
Hematoporphyrin monomethyl Ethe
分子式:C35H40N4O6
CAS号: 148471-91-4
纯度:95%+
存储条件:-20°C,避光,避湿
用途:科研
状态:固体/粉末/溶液
保存:冷藏
厂家:西安齐岳生物
cas:148471-91-4|血卟啉单甲醚结构式:

齐岳生物可以提供各种金属卟啉配合物,卟啉荧光探针、卟啉光敏剂、卟啉聚合物、卟啉功能化材料等等定制服务。
齐岳生物可以提供不同取代基的卟啉化合物,取代基有:苯基、氯、甲氧基、羟基和乙基
齐岳生物可以提供可用于MOF,COF材料的卟啉产品,例如四苯醛基卟啉,四苯羧基卟啉
齐岳生物可以提供不同中心金属及不同苯环取代基的卟啉产品的定制
齐岳生物可以提供不同中心及不同取代基卟啉、酞菁产品的定制
齐岳生物可以提供卟啉配合物,卟啉化合物、卟啉衍生物,卟啉荧光探针
齐岳生物可以提供卟啉光敏剂、卟啉聚合物、卟啉功能化材料、卟啉mof,cof骨架材料。
西安齐岳生物供应铁卟啉、锰卟啉、钴卟啉、铜卟啉、锌卟啉、镍卟啉
齐岳生物可以提供脂溶性卟啉化合物,水溶性卟啉化合物
产品:
酞菁二(吡啶)铁(II)络合物 cas:20219-84-5
1,2,3,4,8,9,10,11,15,16,17,18,22,23,24,25-十六氯-29H,31H-铁酞菁 cas:50662-67-4
四羧基酞菁铁 cas:93038-52-9
四苯基卟啉锌 cas:143262-17-3
meso-四苯基卟啉钴 cas:144223-33-6
四苯基卟啉镍 cas:144235-64-3
血卟啉单甲醚 cas:15189-51-2
尿卟啉III八甲基酯 cas:156965-06-9
三水合原卟啉锌 cas:157037-56-4
氧化初卟啉钒(IV) cas:15996-76-6
5,10,15,20-4吡啶基卟啉 cas:17029-16-2
237812131718-八乙基-21H23H-卟啉钴 cas:17791-18-6
仅供科研,不能用于人体实验AXC.2024.05.28




齐岳微信公众号
官方微信
库存查询