西安齐岳生物科技有限公司是一家集工业生产,分子生物、生化试剂、常规试剂、常用耗材与进口试剂代理的生命科学企业。我公司有自己的实验室及科研人员,可提供卟啉的基础材料及卟啉定制材料:
1.可用于MOF,COF材料的卟啉产品,例如四苯醛基卟啉,四苯羧基卟啉
2.不同中心金属及不同苯环取代基的卟啉产品的定制
3.不同中心及不同取代基酞菁产品的定制
将卟啉化合物引入高分子主链,可分为分为一维线型高分子、二维平面型高分子和三维网络状高分子
一维线型卟啉高分子
将双官能团底物与具有对称氨基、羟基、羧基等结构的卟啉直接反应是制备线性卟啉高分子**的方式。
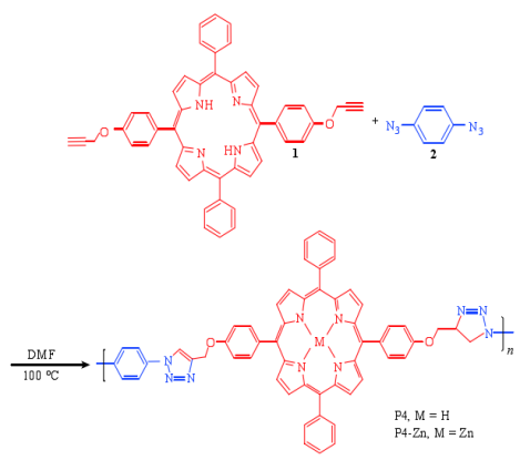
例如将5,15-乙炔基苯基-10,20-苯基卟啉与对叠氮苯等通过环加成反应连接,制备得主链上含有卟啉的线形高分子(如下图)。

二维平面型卟啉高分子:
卟啉与亲核试剂可以发生电聚合,在电极处可制得二维卟啉聚合物。例如Ruhlmann研究组通过调节亲核试剂比例和改变卟啉取代基的方法,通过电聚合制备了光电转换性质可调的二维卟啉高分子。

三维网络状卟啉高分子:
四(4-氰基苯基)卟啉、四(4-胺基苯基)卟啉等具有多个活性基团可与其他化合物反应制备通过共价键连接的共价有机框架(covalent organic frameworks,COFs)。COFs具有多孔结构、选择性吸附等特性,广泛用于气体吸附和气相色谱分析。

1.中文名称:四苯基卟啉铁
英文名称:5,10,15,20-TETRAPHENYL-21H,23H-PORPHINE IRON(III) CHLORIDE
中文同义词:四苯基卟啉铁;四苯基卟啉铁;氯化铁(III)中四苯基卟啉;间-四苯基卟啉氯化铁(III);内消旋-四苯基卟啉氯化铁(III);内消旋-四苯基卟啉氯化铁(III)络合物;5,10,15,20-四苯基-21**H,23H-卟啉氯化铁;5,10,15,20-四苯基-21H,23H-卟吩氯化铁(Ⅲ);5,10,15,20-四苯基-21H,23H-卟吩氯化铁(III)
cas:16456-81-8
分子式:C44H28ClFeN4
分子量:704.02
结构式:

中文名称:四苯基卟啉铜(II)
中文别称:5,10,15,20-四苯基-21H,23H-卟啉铜(II)
英文名称:Copper(II) Tetraphenylporphyrin
CAS:14172-91-9
纯度/分析方法:>85.0%(T)
分子式/分子量:C44H28CuN4 = 676.28
外观与形状(20°C):固体
应避免的情况:光
结构式:

中文名称:四苯基卟啉锰
中文别称:氯化5,10,15,20-四苯基-21H,23H-卟啉镁
英文名称:Manganese,chloro[5,10,15,20-tetraphenyl-21H,23H-porphinato(2-)-kN21,kN22,kN23,kN24]-, (SP-5-12)-
CAS No.:32195-55-4
分子式:C32H18N8Ni
分子量:573.23232
结构式:

中文名称:四苯基卟啉镍中文同义词:四苯基卟吩镍;四苯基卟啉镍5G;5,10,15,20-四苯基卟啉镍;5,10,15,20-四苯基-21H,23H-卟吩镍(II);四苯基卟啉镍;NICKELMESO-TETRAPHENYLPORPHYRINE英文名称:5,10,15,20-TETRAPHENYL-21H,23H-PORPHINENICKEL(II)
英文同义词:[5,10,15,20-Tetraphenylporphinato(2-)]nickel;
CAS号:14172-92-0
分子式:C44H28N4Ni
分子量:671.41
结构式:

温馨提示:
西安齐岳生物科技有限公司供应的产品仅用于科研,不能用于人体**、**开发、和其他商业用途,如有购买方或第三方采购我公司的产品用于**、**开发或商业用途,购买方或第三方将承担所有法律责任,我公司也将追究其法律责任,本文所发布的文章均为促进同行的交流与学习。axc




齐岳微信公众号
官方微信
库存查询