常用名 Biotin-PEG3-propargyl
英文名 Biotin-PEG3-propargyl
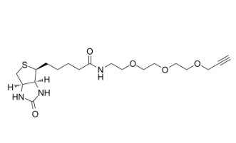
描述 Biotin-PEG3-propargyl 是一种 PROTAC linker,属于 PEG 类。可用于合成 PROTAC 分子。
CAS号 1421701-68-9
分子量 413.53
密度 N/A
沸点 N/A
分子式 C19H31N3O5S
熔点 N/A
MSDS N/A
闪点 N/A
相关类别
研究领域 >> *
信号通路 >> 蛋白裂解靶向嵌合体 >> PROTAC Linker
靶点 PEGs
体外研究 PROTACs包含两个不同的配体,通过连接体连接;一个是E3泛素连接酶的配体,另一个是靶蛋白的配体。PROTACs利用细胞内泛素-蛋白酶体系统选择性降解靶蛋白[1]。

储存条件 2-8°C,密封,干燥
产地:西安
规格:1mg 5mg 10mg
纯度:99%
状态:固体/溶液
用途:科研!
厂家:西安齐岳生物科技有限公司
温馨提示:仅用于科研,不能用于人体实验!
关于我们:
西安齐岳生物科技有限公司是一家集研发,生产,销售为一体的高科技企业,可提供合成磷脂、高分子聚乙二醇衍生物、嵌段共聚物、顺磁/超顺磁性纳米颗粒、纳米金及纳米金棒、近红外荧光染料、活性荧光染料、荧光标记的葡聚糖BSA和链霉亲和素、蛋白交联剂、小分子PEG衍生物、点击化学产品、树枝状聚合物、环糊精衍生物、大环配体类、荧光量子点、透明质酸衍生物、石墨烯或氧化石墨烯、碳纳米管、富勒烯等等,可以满足不同客户的定制需求。
相关产品:
Biotin-(L-Thyroxine)[Biotin-(L-Thyroxine)]
Biotin-PEG-amine (MW 2000)
Biotin-peg6-acid
Biotin-PEG-Alk (MW 20000)[Biotin-PEG-Alk]
Biotin-β-Amyloid (1-40)[Biotinyl-Amyloid β-Protein (1-40) trifluoroacetate salt]
Biotin-PEG-Thiol (MW 2000)[Biotin-PEG-SH]
Biotin-TeG-NH2 TFA
Diol biotin-peg3-alkyne
Biotin-PEG3-(CH2)3-NH2 TFA salt
Biotin-cysteine
Phospholipid-PEG-Biotin (MW 5000)
Phospholipid-PEG-Biotin (MW 10000)
Biotin-PEG6-PFP ester
Biotin-11-dUTP trisodium
Biotin-PEG4-NHS ester
Biotin-PEG2-CH2CH2N3
NHS-SS-(+)-Biotin




齐岳微信公众号
官方微信
库存查询