mPEG-PLA-FKI749 聚乙二醇-聚乳酸-荧光FKI749 荧光标记生物降解二嵌段共聚物
中文名称:聚乙二醇-聚乳酸-荧光FKI749
英文简称:mPEG-PLA-FKI749
英文全称:Methoxy-Poly(ethylene glycol)-b-Poly(DL-lactide)-FKI749
CAS号:n/a; PEG: 25322-68-3; Poly(L-lactide): 26161-42-2; Poly(D-lactide): 106989-11-1
主链结构:二嵌段共聚物
主要成分:PLA
亲疏水性:两亲性
产品类型:荧光标记高分子
荧光/发光:FKI749
外观/形态:固态粉末或颗粒(以实际外观为准)
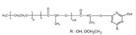
结构式:

用途:科研
品牌:齐岳生物
包装: 瓶装
产地:西安
供应商:西安齐岳生物科技有限公司
温馨提示:仅用于科研!
西安齐岳生物科技有限公司是国内的高分子聚合物合成厂家,我公司可以提供各种不同的聚合物的嵌段共聚物,有均聚物,嵌段共聚物,星形聚合物等,聚合物包括有PEG、PLGA、PLA、PCL、PS、PLL,PtBA,PMMA,PAA,P4VP,P2VP,PNIPAAm,PEI、以及其他基团或者多肽聚合物,种类多,可提供定制服务。也提供基于这些共聚物修饰蛋白,多肽,氨基酸,荧光修饰等定制合成。
相关产品:
α-vinyl-terminated;
α-phthalimidyl-terminated
α-oligo(ethylene
α-N-羟基琥珀酰亚胺封端
α-N-羟基琥珀酰封端
α-methoxybenzylthio-terminated
α-mesylate-terminated
α-hydroxypropyl-terminated
α-hydroxydiphenylmethyl-terminated
α-formyl-terminated
α-diphenylmethylene-ω-hydroxy-terminated
α-deuterated
α-aminodiphenylpentyl-terminated
α-allyl-terminated;
α-allyl-terminated
α-allyloxyethyl-terminated
α-alkyne
α-acryloyloxy-terminated
α-acrylate-terminated




齐岳微信公众号
官方微信
库存查询