PLGA-cholesterol 聚乙丙交酯-胆固醇 生物降解高分子 Poly(lactide-co-glycolide)-cholesterol
发布时间:2022-09-30     作者:LYQ   分享到:
PLGA-cholesterol 聚乙丙交酯-胆固醇 生物降解高分子 Poly(lactide-co-glycolide)-cholesterol
中文名称:聚乙丙交酯-胆固醇
英文简称:PLGA-cholesterol
英文全称:Poly(lactide-co-glycolide)-cholesterol
CAS号:n/a; PLGA: 26780-50-7; Cholesterol: 57-88-5
主链结构:直链共聚物
主要成分:PLGA
亲疏水性:疏水
产品类型:生物降解高分子
荧光/发光:无
外观/形态:固态粉末或颗粒(以实际外观为准)
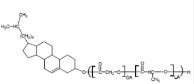
结构式:

用途:科研
品牌:齐岳生物
包装: 瓶装
产地:西安
供应商:西安齐岳生物科技有限公司
温馨提示:仅用于科研!
西安齐岳生物科技有限公司是国内的高分子聚合物合成厂家,我公司可以提供各种不同的聚合物的嵌段共聚物,有均聚物,嵌段共聚物,星形聚合物等,聚合物包括有PEG、PLGA、PLA、PCL、PS、PLL,PtBA,PMMA,PAA,P4VP,P2VP,PNIPAAm,PEI、以及其他基团或者多肽聚合物,种类多,可提供定制服务。也提供基于这些共聚物修饰蛋白,多肽,氨基酸,荧光修饰等定制合成。
相关产品:
Spacer
soluble
Solar/PLT502201T
SO1458
SMP-4
SMP
SiN-PtBuMA-SH
SiN-PtBuMA
SiN-PMMA-SH
SiN-PMMA
silyl
SIL-PEG-SIL
siloxypropyl)-term
siloxy,




齐岳微信公众号
官方微信
库存查询