6-Arm PEG-COOH 6臂星形-聚乙二醇-羧基 Poly(ethylene oxide), carboxy-terminated 6-arm star
中文名称:6臂星形-聚乙二醇-羧基
英文简称:6-Arm PEG-COOH
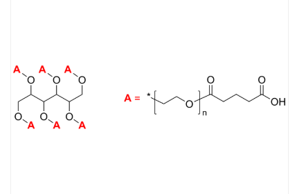
英文全称:Poly(ethylene oxide), carboxy-terminated 6-arm star polymer / Core: sorbitol
英文别名:Poly(ethylene oxide) star polymer with Sorbitol core
CAS号:n/a; PEG: 25322-68-3; Sorbitol: 50-70-4
分子式:(C2H4O)n
主链结构:多臂星形
主要成分:PEO/PEG
亲疏水性:亲水
产品类型:端基功能化修饰高分子
荧光/发光:无
外观/形态:固态粉末或颗粒(以实际外观为准)
纯度:≤ 100%
结构式:

包装: 瓶装
用途:用于医学研究,药物释放,纳米技术和新材料研究。
品牌:齐岳生物
产地:西安
供应商:西安齐岳生物科技有限公司
温馨提示:仅用于科研实验,不能用于人体!
西安齐岳生物科技有限公司是国内的高分子聚合物合成厂家,我公司可以提供各种不同的聚合物的嵌段共聚物,有均聚物,嵌段共聚物,星形聚合物等,聚合物包括有PEG、PLGA、PLA、PCL、PS、PLL,PtBA,PMMA,PAA,P4VP,P2VP,PNIPAAm,聚赖氨酸、聚谷氨酸、聚天冬氨酸、PEI、以及其他基团或者多肽聚合物,种类多,可提供定制服务。
相关产品:
PMA
PLT103011R
PLT102031B
PLR
PLP
PLOC
PLMA-OHT
PLMA-COOH
PLMA
PLLGA-PEG-PLLGA
PLLA-PEG-PLLA
PLLA-FL
PLLA-2OH




齐岳微信公众号
官方微信
库存查询