PDMS-PHEA 聚二甲基硅氧烷-聚(丙烯酸2-羟乙基酯) 两亲性二嵌段共聚物 Poly(dimethylsiloxane)-b-poly(2-hydroxyethyl acrylate)
中文名称:聚二甲基硅氧烷-聚(丙烯酸2-羟乙基酯)
英文简称:PDMS-PHEA
英文全称:Poly(dimethylsiloxane)-b-poly(2-hydroxyethyl acrylate)
CAS号:n/a; PDMS: 9016-00-6/63148-62-9; PHEA: 26022-14-0
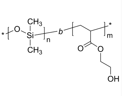
分子式:[C2H6OSi]n [C5H8O3]m
主链结构:二嵌段共聚物
主要成分:PDMS
亲疏水性:两亲性
产品类型:常规高分子
荧光/发光:无
外观/形态:固态粉末或颗粒(以实际外观为准)
纯度:≤ 100%
结构式:

包装: 瓶装
用途:用于医学研究,药物释放,纳米技术和新材料研究。
品牌:齐岳生物
产地:西安
供应商:西安齐岳生物科技有限公司
温馨提示:仅用于科研实验,不能用于人体!
西安齐岳生物科技有限公司是国内的高分子聚合物合成厂家,我公司可以提供各种不同的聚合物的嵌段共聚物,有均聚物,嵌段共聚物,星形聚合物等,聚合物包括有PEG、PLGA、PLA、PCL、PS、PLL,PtBA,PMMA,PAA,P4VP,P2VP,PNIPAAm,聚赖氨酸、聚谷氨酸、聚天冬氨酸、PEI、以及其他基团或者多肽聚合物,种类多,可提供定制服务。
相关产品:
PBOCAmOXZ-PDMS-PBOCAmOXZ
PBDTTTPD
PBDTTPD
PBDTT-DPP
PBd-tBuDMS-OH
PBd-tBuAc
PBd-SO3H
PBd-PS-PBd(1,4)
PBd-PMOXZ-NH2
PBd-PMEOXZ-NH2
PBd-PIP-PBdIPran
PBd-PIP-PBd(1,4)




齐岳微信公众号
官方微信
库存查询