PIB-PMMA 聚异丁烯-聚甲基丙烯酸甲酯 二嵌段共聚物 Poly(isobutylene)-b-poly(methyl methacrylate)
发布时间:2022-11-08     作者:LYQ   分享到:
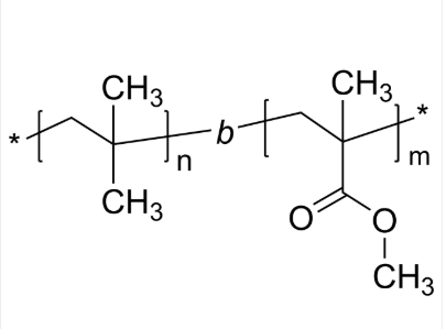
PIB-PMMA 聚异丁烯-聚甲基丙烯酸甲酯 二嵌段共聚物 Poly(isobutylene)-b-poly(methyl methacrylate)
中文名称:聚异丁烯-聚甲基丙烯酸甲酯
英文简称:PIB-PMMA
英文全称:Poly(isobutylene)-b-poly(methyl methacrylate)
CAS号:n/a; PIB: 9003-27-4; PMMA: 9011-14-7
分子式:(C4H8)n (C5H8O2)m
主链结构:二嵌段共聚物
主要成分:PMMA
亲疏水性:疏水
产品类型:常规高分子
荧光/发光:无
外观/形态:固态粉末或颗粒(以实际外观为准)
纯度:≤ 100%
结构式:

包装: 瓶装
用途:用于医学研究,药物释放,纳米技术和新材料研究。
品牌:齐岳生物
产地:西安
供应商:西安齐岳生物科技有限公司
温馨提示:仅用于科研实验,不能用于人体!
西安齐岳生物科技有限公司提供PLGA,PCL,PAMAM,PAA等聚合物的定制合成,提供基本活性基团修饰,荧光标记等等。
相关产品:
PAA-AnOH
PAA-An
PAA-2SS
P9VAn
P9FBEMA
P7FBuMAGMAran
P7FBuMA
P6FSSran
P6FS
P5FS-PMMA
P5FS
P5FPMA
P4VP-Vinyl




齐岳微信公众号
官方微信
库存查询