关于 CYS-TAT(47-57) 583836-55-9 CTAT 的描述
发布时间:2022-11-09     作者:LYQ   分享到:
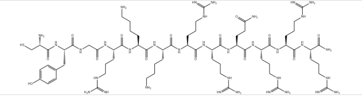
英文名称:CYGRKKRRQRRR
英文别名:CTAT;CYS-TAT(47-57)
CAS号 583836-55-9
分子量 1661.99
密度 N/A
产品说明:
该肽对应于TAT蛋白的蛋白转导结构域,由活化的半胱氨酸残基C(Npys)合成,其中Npys是3-硝基-2-吡啶磺基,用于活化半胱氨酸的S和快速反应
结构式:

级别:科研
产地:西安
供应商:西安齐岳生物科技有限公司
西安齐岳生物科技有限公司定制供应合成磷脂、PEG磷脂、两亲嵌段共聚物,磁性纳米颗粒,纳米金,荧光量子点及树枝状聚合物、PEG衍生物等等产品.可供常规磷脂单体、PEG磷脂,改性磷脂,荧光标记磷脂、聚合物磷脂、磷脂偶连无机纳米材料及微球类材料、单分散小分子PEG磷脂偶连产品,还可根据客户需要定制合成复杂及特殊的聚合物磷脂产品。
温馨提示:仅用于科研实验!
其他产品:
PCL(12K)-PEG-Mal
PCL(10K)-PEG-SC
PCL(10K)-PEG-NH2
PAA(2K)-PEG-NH2
OH-PEG-RGD
OH-PEG-PLA(3K)
OH-PEG-PI(38K)
OH-PEG-PCL(2K)
OH-PEG-AA-C30
NTA-PEG-NTA
NTA-PEG-FITC
NTA-PEG-Biotin
NHS-PEG-RGD
NH2-PEG-TPP




齐岳微信公众号
官方微信
库存查询