PMMA-PNPMA 聚甲基丙烯酸甲酯-聚甲基丙烯酸新戊酯 二嵌段共聚物 Poly(methyl methacrylate)-b-poly(neopentyl methacrylate)
发布时间:2022-11-11     作者:LYQ   分享到:
中文名称:聚甲基丙烯酸甲酯-聚甲基丙烯酸新戊酯
英文简称:PMMA-PNPMA
英文全称:Poly(methyl methacrylate)-b-poly(neopentyl methacrylate)
英文别名:Poly(methyl methacrylate-block-neopentyl methacrylate); Poly(neopentyl methacrylate)-b-poly(methyl methacrylate)
CAS号:n/a; PMMA: 9011-14-7; PNPMA: 34903-87-2
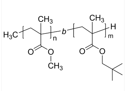
分子式:[C5H8O2]n [C9H16O2]m
主链结构:二嵌段共聚物
主要成分:PNPMA
亲疏水性:疏水
产品类型:烷基封端高分子
荧光/发光:无
外观/形态:固态粉末或颗粒(以实际外观为准)
纯度:≤ 100%
结构式:

包装: 瓶装
用途:用于医学研究,药物释放,纳米技术和新材料研究。
品牌:齐岳生物
产地:西安
供应商:西安齐岳生物科技有限公司
温馨提示:仅用于科研实验,不能用于人体!
西安齐岳生物科技有限公司提供PLGA,PCL,PAMAM,PAA等聚合物的定制合成,提供基本活性基团修饰,荧光标记等等。
相关产品:
HOOC-PEG-C11-SH
HO-dPEO-OCH3
HO/Cl-PCL-COOH
hexamine
hexadecyl
Heparin-SH
Heparin-NH2
Heparin-FITC
Heparin-Biotin
HA-Spacer-Biotin




齐岳微信公众号
官方微信
库存查询