中文名称:聚(甲基丙烯酸叔丁酯-co-甲基丙烯酸正丁酯)-聚乙二醇
英文简称:PtBuMAnBuMAran-PEO | PtBuMAnBuMAran-PEG
英文全称:Poly(tert-butyl methacrylate-co-n-butyl methacrylate)-b-poly(ethylene oxide)
英文别名:Poly(butyl methacrylate-block-ethylene oxide); Poly(tert-butyl methacrylate-co-n-butyl methacrylate)-b-poly(ethylene oxide).
CAS号:n/a; PtBuMA: 25189-00-8; PnBuMA: 9003-63-8; PEG: 25322-68-3
分子式:[C8H14O2]n [C2H4O]m
主链结构:二嵌段共聚物
主要成分:PEO/PEG
亲疏水性:两亲性
产品类型:链端羟基高分子
荧光/发光:无
外观/形态:固态粉末或颗粒(以实际外观为准)
纯度:≤ 100%
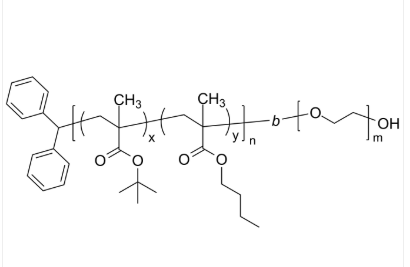
结构式:

包装: 瓶装
用途:用于医学研究,药物释放,纳米技术和新材料研究。
品牌:齐岳生物
产地:西安
供应商:西安齐岳生物科技有限公司
温馨提示:仅用于科研实验,不能用于人体!
西安齐岳生物科技有限公司提供PLGA,PCL,PAMAM,PAA等聚合物的定制合成,提供基本活性基团修饰,荧光标记等等。
相关产品:
EP0408-Epoxycyclohexyl
EP0402-Epoxycyclohexyl
end-group],
end
EGDA
dye)
dye
DTS(FBTTh2)2
DSPE-PEG-NHS
DSPE-PEG-NH2
DSPE-PEG-MAL
DSPE-PEG-FITC
DSPE-PEG-COOH




齐岳微信公众号
官方微信
库存查询