DOPE-甘露糖,DOPE-PEG-mannose,二油酰基磷脂酰乙醇胺-PEG-甘露糖
中文名称:甘露糖-二油酰基磷脂酰乙醇胺
英文名称:mannose-DOPE
别称:DOPE修饰甘露糖,DOPE-甘露糖
纯度:95%+
存储条件:-20°C,避光,避湿
外观:固体或粘性液体,取决于分子量
PEG分子量可选:350、550、750、1k、2k、34k、5k
包装:瓶装/袋装
溶解性:溶于大部分有机溶剂,如:DCM、DMF、DMSO、THF等等。在水中有很好的溶解性
注意事项:取用一定要干燥,避免频繁的溶解和冻干
地址:西安
厂家:西安齐岳生物
甘露糖为白色晶体或结晶粉末,无臭,具有清凉甜味,味甜带苦。+29.3°(水)。甜度约为蔗糖的57%~72%。每g产生8.37J 热量,约为葡萄糖的一半。含少量山梨糖醇。相对密度1.49。旋光率[α]D20º;-0.40º;(10%水溶液)。吸湿性较小。水溶液稳定。甘露糖水中溶解度:2480 g/L(17°C),对稀酸、稀碱稳定。分α-型和β-型两种。α-型为甲基的结晶,熔点133℃ ;β-型为乙基的结晶,熔点 132 ℃(分解点)。-17°→+14.6°(水)易溶于水(250%),难溶于乙醇(0.4%),不溶于乙醚。西安齐岳生物可以提供PEG接枝修饰甘露糖,甘露糖-聚乙二醇-二油酰基磷脂酰乙醇胺,DOPE-PEG-mannose,二油酰基磷脂酰乙醇胺-PEG-甘露糖
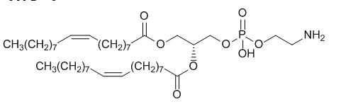
二油酰基磷脂酰乙醇胺DOPE结构式

相关产品目录:
氨基-PEG-甘露糖
羧酸-PEG-甘露糖
马来酰亚胺-PEG-甘露糖
N-羟基琥珀酰亚胺-PEG-甘露糖
叠氮-PEG-甘露糖
炔基-PEG-甘露糖
巯基-PEG-甘露糖
生物素-PEG-甘露糖
醛基-PEG-甘露糖
巯基吡啶-PEG-甘露糖
羟基-PEG-甘露糖
酰基-PEG-甘露糖
硅烷-PEG-甘露糖
丙烯酸酯-PEG-甘露糖
硫辛酸-PEG-甘露糖
甲苯磺酸酯-PEG-甘露糖
氨甲基-PEG-甘露糖
硝基苯碳酸盐-PEG-甘露糖
厂家:西安齐岳生物科技有限公司
以上资料来自小编axc,2022.11.14
以上文中提到的产品仅用于科研,不能用于人体。




齐岳微信公众号
官方微信
库存查询