中文名称:聚二甲基硅氧烷-双羧基
英文简称:PDMS-2COOH
英文全称:Poly(dimethylsiloxane), α,ω-bis(carboxy)-terminated
英文别名:Carboxy-functionalized dimethylpolysiloxane; Poly(dimethylsiloxane), bis(carboxy)-terminated.
CAS号:n/a; PDMS: 9016-00-6/63148-62-9;
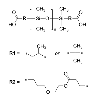
分子式:COOH[C2H6OSi]nCOOH
主链结构:直链均聚物
主要成分:PDMS
亲疏水性:疏水
产品类型:端基功能化修饰高分子
荧光/发光:无
外观/形态:Viscous liquid
纯度:≤ 100%
结构式:

包装: 瓶装
用途:用于医学研究,药物释放,纳米技术和新材料研究。
品牌:齐岳生物
产地:西安
供应商:西安齐岳生物科技有限公司
温馨提示:仅用于科研实验,不能用于人体!
西安齐岳生物科技有限公司提供PLGA,PCL,PAMAM,PAA等聚合物的定制合成,提供基本活性基团修饰,荧光标记等等。
相关产品:
PEO-PBO 聚乙二醇-聚氧化丁烯 两亲性二嵌段共聚物
Poly(ethylene oxide)-b-poly(butylene oxide)
PEO-PAzoMA | PEG-PAzoMA 聚乙二醇-聚(11-[4-(4'-丁基苯基偶氮)苯氧基]-甲基丙烯酸十一酯) 两亲性二嵌段共聚物
PEO-P4CNBPEMA | PEG-P4CNBPEMA 聚乙二醇-聚(2-[4'-氰基联苯-4-氧基]-甲基丙烯酸乙酯) 两亲性二嵌段共聚物
PEO-P4CNBPPMA | PEG-P4CNBPPMA 聚乙二醇-聚(3-[4'-氰基联苯-4-氧基]-甲基丙烯酸丙酯) 两亲性二嵌段共聚物
PEO-P4CNBPBMA | PEG-P4CNBPBMA 聚乙二醇-聚(4-[4'-氰基联苯-4-氧基]-甲基丙烯酸丁酯) 两亲性二嵌段共聚物
PEO-P4CNBPHMA | PEG-P4CNBPHMA 聚乙二醇-聚(6-[4'-氰基联苯-4-氧基]-甲基丙烯酸己酯) 两亲性二嵌段共聚物
PEO-P4CNBP11CMA | PEG-P4CNBP11CMA 聚乙二醇-聚(11-[4'-氰基联苯-4-氧基]-甲基丙烯酸十一酯) 两亲性二嵌段共聚物




齐岳微信公众号
官方微信
库存查询