中文名称:聚二甲基硅氧烷-α,ω-双羟基[甲醇]
英文简称:PDMS-2OH
英文全称:Poly(dimethylsiloxane), α,ω-bis(hydroxy [carbinol])-terminated
英文别名:Poly(dimethylsiloxane), bis(hydroxy)-terminated
CAS号:70131-67-8; PDMS: 9016-00-6/63148-62-9
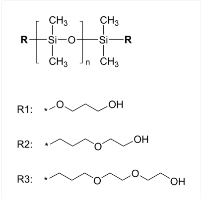
分子式:HO(CH2)2-3-[Si(CH3)2O]n-(CH2)2-3OH
主链结构:直链均聚物
主要成分:PDMS
亲疏水性:疏水
产品类型:聚硅氧烷
荧光/发光:无
外观/形态:Viscous liquid
纯度:≤ 100%
结构式:

包装: 瓶装
用途:用于医学研究,药物释放,纳米技术和新材料研究。
品牌:齐岳生物
产地:西安
供应商:西安齐岳生物科技有限公司
温馨提示:仅用于科研实验,不能用于人体!
西安齐岳生物科技有限公司提供PLGA,PCL,PAMAM,PAA等聚合物的定制合成,提供基本活性基团修饰,荧光标记等等。
相关产品:
PEO-PDMAEMA | PEG-PDMAEMA 聚乙二醇-聚甲基丙烯酸二甲氨基乙酯 两亲性二嵌段共聚物
PEO-PDMS | PEG-PDMS 聚乙二醇-聚二甲基硅氧烷 两亲性二嵌段共聚物
Poly(ethylene oxide)-b-poly(dimethylsiloxane)
PEO-PEOXZ | PEG-PEtOXZ 聚乙二醇-聚(2-乙基恶唑啉) 两亲性二嵌段共聚物
Poly(ethylene oxide)-b-poly(2-ethyl oxazoline)
PEG-PHEMA | PEO-PHEMA 聚乙二醇-聚甲基丙烯酸羟基乙酯 两亲性二嵌段共聚物
PEG-PNIPAM | PEO-PNIPAM 聚乙二醇-聚(N-异丙基丙烯酰胺) 两亲性二嵌段共聚物
PEG-PLA | HO-PEO-PLA-Ac 聚乙二醇-聚丙交酯(聚乳酸) 生物降解两亲性二嵌段共聚物
Poly(ethylene oxide)-b-poly(lactide)
PEO-PLA | PEG-PLA 聚乙二醇-聚丙交酯(聚乳酸) 生物降解两亲性二嵌段共聚物
P3HT-PCL 聚(3-己基噻吩-2,5-二基)-聚己内酯 导电+生物降解二嵌段共聚物
Poly(3-hexylthiophene-2,5-diyl)-b-poly(ε-caprolactone)
![PDMS-2OH 聚二甲基硅氧烷-α,ω-双羟基[甲醇] Poly(dimethylsiloxane), α,ω-bis(hydroxy [carbinol])-terminated-UDP糖丨MOF丨金属有机框架丨聚集诱导发光丨荧光标记推荐西安齐岳生物](/images/logo.png)



齐岳微信公众号
官方微信
库存查询