中文名称:聚(1,2-苯撑-co-1,4-苯撑)-羟基
英文简称:PPP-OH
英文全称:Poly(1,2-phenylene-co-1,4-phenylene), α-hydroxy-terminated
CAS号:n/a
分子式:[C6H4]nC3H6OH
主链结构:交替共聚物
主要成分:PPP
亲疏水性:疏水
产品类型:导电高分子
荧光/发光:无
外观/形态:固态粉末或颗粒(以实际外观为准)
纯度:≤ 100%
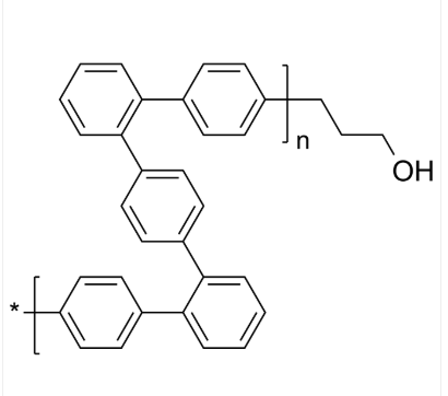
结构式:

包装: 瓶装
用途:用于医学研究,药物释放,纳米技术和新材料研究。
品牌:齐岳生物
产地:西安
供应商:西安齐岳生物科技有限公司
温馨提示:仅用于科研实验,不能用于人体!
西安齐岳生物科技有限公司提供PLGA,PCL,PAMAM,PAA等聚合物的定制合成,提供基本活性基团修饰,荧光标记等等。
相关产品:
PS-thiol | PS-SH ?聚苯乙烯-硫醇 端基修饰 Poly(styrene), ω-thiol-terminated
PS-DA | PS-2Acrylate 聚苯乙烯-二丙烯酸酯
末端双键 Poly(styrene), α,ω-bis(acrylate)-terminated
PS-COCl 聚苯乙烯-酰氯 端基修饰 Poly(styrene), ω-acylchloride-terminated
PS-CHO 聚苯乙烯-苯甲醛 端基修饰 Poly(styrene), ω-(benzaldehyde)-terminated
PS-CHO 聚苯乙烯-丙醛 端基修饰 Poly(styrene), α-(propionaldehyde)-terminated
PS-Alkyne 聚苯乙烯-炔基 端基修饰 Poly(styrene), ω-alkyne-terminated
PS-NH2 聚苯乙烯-氨基 端基修饰 Poly(styrene), α-amino-terminated
PS-NH2 聚苯乙烯-氨基 端基修饰 Poly(styrene), ω-amino-terminated (no silane or amide linkage)
PS-NH2 聚苯乙烯-氨基 端基修饰 Poly(styrene), ω-amino-terminated (via amide linkage)




齐岳微信公众号
官方微信
库存查询