西安齐岳生物科技有限公司**于提供基于NOTADOTA(N-[3-(2-aminoethylthio)propyl]iminodiacetic acid)化学结构的定制和偶联产品。NOTADOTA是一种常用于金属离子配位的分子,广泛应用于分子探针、药物输送和成像等生物医学领域。齐岳生物科技利用其专业的合成技术,能够为客户提供个性化的NOTADOTA衍生物定制服务,满足不同研究需求。公司产品可用于放射性标记、靶向治疗、细胞追踪等应用。欢迎在线或来电咨询。
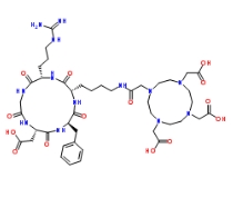
产品名称:CAS:909024-55-1 DOTA-cyclo(RGDfK)acetate
CAS: 909024-55-1 - DOTA-cyclo(RGDfK)acetate 是一种结合了 DOTA 配体、环状肽 cyclo(RGDfK) 和乙酸基团的分子,通常用于靶向治疗和成像应用。
化学结构与组成:
DOTA(四氮杂环十二烷四乙酸):
DOTA 是一种大环配体,能够稳定地与金属离子(如镓-68、铼-186、钆-3等)结合,常用于放射性药物和分子成像探针中。它是用于放射性药物递送的标准配体之一,广泛应用于正电子发射断层扫描(PET)和单光子发射计算机断层扫描(SPECT)成像中。
Cyclo(RGDfK)(环状RGDfK肽):
RGDfK 是一个小型的肽序列,其中R代表精氨酸(Arg),G代表甘氨酸(Gly),D代表天冬氨酸(Asp),fK是指芳香族的赖氨酸(Phe)和赖氨酸(Lys)。该环状肽常用于与αvβ3整合素受体结合,这些受体通常在肿瘤细胞的表面上高度表达,因此,cyclo(RGDfK) 可以特异性地靶向肿瘤细胞。
乙酸基团:
乙酸基团(Acetate)是化合物中的一个保护基团,通常用来调节化合物的溶解度或稳定性。
英文名称: DOTA-cyclo(RGDfK) acetate
中文名称: DOTA-CYCLO(RGDFK)
MF: C43H67N13O14

MW: 990.07078
CAS: 909024-55-1
产地:西安
包装:瓶装
规格:1mg 5mg 10mg
厂家:西安齐岳生物科技有限公司
用途:科研
性状:固体/粉末/溶液
温馨提示:仅用于科研,不能用于人体实验
厂家介绍:西安齐岳生物科技有限公司是一家集研发,生产,销售为一体的高科技企业,可提供合成磷脂、高分子聚乙二醇衍生物、嵌段共聚物、顺磁/超顺磁性纳米颗粒、近红外荧光染料、蛋白交联剂、小分子PEG衍生物、点击化学产品、环糊精衍生物、大环配体类等等,可以满足不同客户的定制需求。
相关产品:
靶向VEGF载PTX聚合物纳米粒 Target PTX-loaded nanoparticles TPN
DOTA-DG 葡萄糖胺-1,4,7,10-四氮杂环十二烷-1,4,7,10-四乙酸
氰基-半胱氨酸(CN-Cys)
DOTA-peptide DOTA修饰磷酸化环腺苷酸应答元件结合蛋白(多肽)
DOTA-ZHER2:342(Cys39) 大环DOTA修饰anti-EGFR亲和体分子
羧基化聚乙二醇单甲醚(mPEG-COOH)
Gd-DOTA-AGCMC6 大分子多糖阿拉伯半乳聚糖修饰的DOTA钆配合物
DOTA-RGD tetramer DOTA偶联RGD四聚体
Cd-Aminobenzyl-EDTA-KLH
DOTA-dimer-RGD peptoid DOTA偶联RGD序列的线性类似肽
(DOTA-Gd)7-CD-(PHPMA-FA-DOX)14 DOTA-Gd接枝β-环糊精 多功能14臂星形聚合物
OH-PCL-PEG-NC 单氰基的聚 (乙二醇)(PEG)与聚(e-己内酯)(PCL)的共聚物
3,6,9,12-四氧杂十四烷-1,14-二基)双(DOTA-苄基硫脲 3,6,9,12-tetraoxatetradecane-1,14-diyl
DOTA-rituximab DOTA-利妥昔单抗
DOTA-CC-PSMA 螯合剂DOTA偶联PSMA靶向分子探针
DOTA-FGFR1-Peptide DOTA偶联fgfr1-肽
螯合剂DOTA修饰ribociclib DOTA-RBB
DOTA-ECL1i 细胞外环路1逆(ECL1i) PET示踪剂
DOTA-PAN 抗HER1/EGFR单克隆抗体
DOTA-Lys-UTriMA DOTA修饰5-羧亚甲基-氧苯基-10,15,20-三(4-甲氧苯基)卟啉(UTriMA)




齐岳微信公众号
官方微信
库存查询