dPS 低聚(氘化1,2-丁二烯-d6)上接枝聚(氘化苯乙烯-d8), 端基氘化, 氘化接枝高分子
发布时间:2022-12-23     作者:LYQ   分享到:
中文名称:低聚(氘化1,2-丁二烯-d6)上接枝聚(氘化苯乙烯-d8), 端基氘化
英文简称:dPS
英文全称:Poly(deuterated styrene-d8) grafted on oligo(deuterated 1,2-butadiene-d6), end-groups are deuterated
CAS号:n/a; PS: 9003-53-6; PBd: 9003-17-2; PS-d8: 27732-42-9
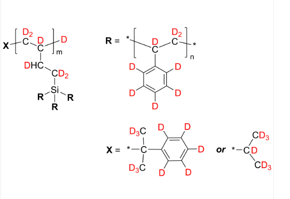
分子式:X[C4D6HSiR3]mD
主链结构:接枝共聚物
主要成分:PS
亲疏水性:疏水
产品类型:同位素氘化高分子
荧光/发光:无
外观/形态:固态粉末或颗粒(以实际外观为准)
纯度:≤ 100%
结构式:

包装: 瓶装
用途:用于医学研究,药物释放,纳米技术和新材料研究。
品牌:齐岳生物
产地:西安
供应商:西安齐岳生物科技有限公司
温馨提示:仅用于科研实验,不能用于人体!
齐岳生物可以提供各种不同的聚合物的嵌段共聚物,有均聚物,嵌段共聚物,星形聚合物等。
相关产品:
PBd(1,2)-PEO-BzOCH3 聚(1,2-丁二烯)-聚环氧乙烷, ω-(4-甲氧基苯甲酸酯)封端 两亲性二嵌段共聚物
PBd-PEO 聚(1,2-co-1,4-丁二烯)-聚环氧乙烷 两亲性二嵌段共聚物
Poly(1,2-butadiene-co-1,4-butadiene)-b-poly(ethylene oxide
PBd(1,4)-PEO 聚(1,4-丁二烯)-聚环氧乙烷 两亲性二嵌段共聚物
Poly(1,4-butadiene)-b-poly(ethylene oxide)




齐岳微信公众号
官方微信
库存查询