PLR 聚L精氨酸盐酸盐 聚氨基酸-均聚物 Poly(L-arginine hydrochloride), CAS#26982-20-7
发布时间:2022-12-28     作者:LYQ   分享到:
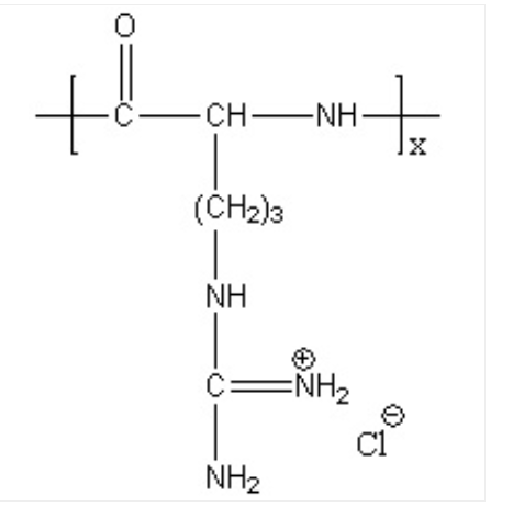
中文名称:聚L精氨酸盐酸盐
英文简称:PLR
英文全称:Poly(L-arginine hydrochloride)
CAS号:26982-20-7
主链结构:直链均聚物
主要成分:PLR
亲疏水性:亲水
产品类型:聚氨基酸
荧光/发光:无
外观/形态:固态粉末或颗粒(以实际外观为准)
纯度:90-100%
结构式:

包装: 瓶装
用途:用于医学研究,药物释放,纳米技术和新材料研究。
品牌:齐岳生物
产地:西安
供应商:西安齐岳生物科技有限公司
温馨提示:仅用于科研实验,不能用于人体!
齐岳生物可以提供各种不同的聚合物的嵌段共聚物,有均聚物,嵌段共聚物,星形聚合物等。
相关产品:
Poly(neopentyl methacrylate)-b-poly(methacrylic acid)
PVCH-PEO 聚乙烯基环己烷-聚乙二醇 两亲性二嵌段共聚物
Poly(vinyl cyclohexane)-b-poly(ethylene oxide)
P2VN-PAA 聚(2-乙烯基萘)-聚丙烯酸 荧光两亲性二嵌段共聚物




齐岳微信公众号
官方微信
库存查询