聚L赖氨酸氢溴酸盐水溶液 0.01%PLKB 聚氨基酸-细胞培养用 Poly(L-lysine) Solution 0.01% (w/v) in water, CAS#25988-63-0
发布时间:2022-12-29     作者:LYQ   分享到:
中文名称:聚L谷氨酸钠盐-聚乙二醇-聚L谷氨酸钠盐
英文简称:PLE-b-PEG-b-PLE / PLE-PEG-PLE
英文全称:Poly(L-glutamic acid)-block-poly(ethylene glycol)-block-poly(L-glutamic acid) sodium salt
CAS号:n/a; PEG: 25322-68-3; PLE: 26247-79-0
主链结构:ABA三嵌段共聚物
主要成分:PLE
亲疏水性:亲水
产品类型:聚氨基酸
荧光/发光:无
外观/形态:固态粉末或颗粒(以实际外观为准)
纯度:90-100%
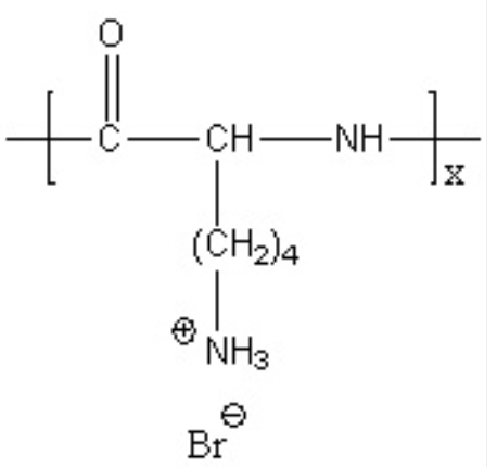
结构式:

包装: 瓶装
用途:用于医学研究,药物释放,纳米技术和新材料研究。
品牌:齐岳生物
产地:西安
供应商:西安齐岳生物科技有限公司
温馨提示:仅用于科研实验,不能用于人体!
齐岳生物可以提供各种不同的聚合物的嵌段共聚物,有均聚物,嵌段共聚物,星形聚合物等。
相关产品:
PDMS-P4CNBP11CMA 聚二甲基硅氧烷-聚(11-[4'-氰基联苯-4-氧基]-甲基丙烯酸十一烷基酯) 二嵌段共聚物
PDMS-PDMAEMA 聚二甲基硅氧烷-聚甲基丙烯酸二甲氨基乙酯 二嵌段共聚物
PDMS-PEtMA 聚二甲基硅氧烷-聚甲基丙烯酸乙酯 二嵌段共聚物




齐岳微信公众号
官方微信
库存查询