Biotin-BCN-PEG2-endo,endo-BCN二聚乙二醇-生物素
发布时间:2023-01-04     作者:zyl   分享到:
中文名:(1R,8S,9S)-双环[6.1.0]壬-二聚乙二醇-生物素
endo-BCN二聚乙二醇-生物素
英文:endo-BCN-PEG2-Biotin
Biotin-BCN-PEG2-endo
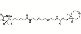
外观以及性质:淡黄色或白色固体取决于分子量。双环[6,1,0]壬炔 (BCN) (环丙烷环辛炔)可以通过无铜的点击化学与叠氮化物标记的分子或生物分子反应生成稳定的三氮唑连接。亲水性PEG间隔物增加了化合物在水介质中的水溶性。Biotin同样可以进行试剂的标记。
CAS号:1393600-24-2
分子式:C27H42N4O6S
分子量:550.72
规格:10mg、25mg、50mg
结构式:

【注意事项】:
1、本品应密封避光,储存于阴凉,干燥,通风处。
2、取用一定要干燥,避免频繁的溶解和冻干
3、仅用于科学研究或者工业应用等非医疗目的,不可用于人类或动物的临床或诊断,非药用,非食用
相关产品:
BCN-PEG-Paclitaxel 环丙烷环辛炔-聚乙二醇-紫杉醇
BCN-PEG-Doxorubicin 环丙烷环辛炔-聚乙二醇-阿霉素
BCN-PEG-cisplatin/CDDP 环丙烷环辛炔-聚乙二醇-顺铂
BCN-PEG-Ciprofloxacin 环丙烷环辛炔-聚乙二醇-环丙沙星
BCN-PEG-Metronidazole 环丙烷环辛炔-聚乙二醇-甲硝唑
BCN-PEG-Raltitrexed 环丙烷环辛炔-聚乙二醇-雷替曲塞
BCN-PEG-Pemetrexed 环丙烷环辛炔-聚乙二醇-培美曲塞
BCN-PEG-sulfadimethoxine 环丙烷环辛炔-聚乙二醇-磺胺地索辛
厂家:西安齐岳生物科技有限公司
储存时间:1年
保存:冷藏
温馨提醒:仅供科研,不能用于人体实验




齐岳微信公众号
官方微信
库存查询