cas1226971-10-3 Methylamino-(13)aneN4 大环配体化合物
发布时间:2023-01-12     作者:zyl   分享到:
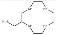
cas1226971-10-3 Methylamino-(13)aneN4 大环配体化合物
分子量:395.09
结构式

类别:大环配体化合物
纯度:99%+
鉴定方法:Mass, NMR
分析方法:HPLC
货期:国产:1-3天,进口:1-2周
保质期:2年
相关产品
TRITAM CAS 1020253-67-1
TRITA CAS 402955-04-8
PCTA CAS 129162-88-5
Mono-N-Benzyl-Cyclen CAS 112193-83-6
Trans-N-Dibenzyl-Cyclen CAS 156970-79-5
TriBoc-Cyclen CAS 175854-39-4
Mono-N-benzyl TACN CAS 174912-95-9
DiBoc TACN CAS 174138-01-3
Formaldehyde-Cyclam CAS 75920-10-4
厂家:西安齐岳生物科技有限公司
储存时间:1年
保存:冷藏
温馨提醒:仅供科研,不能用于人体实验




齐岳微信公众号
官方微信
库存查询