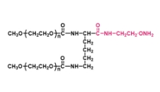
2-arm PEG-OA(两臂聚乙二醇氧胺)
2-arm PEG-OA 是一种功能化的聚乙二醇(PEG)衍生物,其分子结构由中央的PEG链和两端分别带有氧胺(OA)基团组成。我们提供这个产品,仅供科研,如有需要,欢迎咨询!
氧胺基团具有良好的亲核性和反应性,可以与其他含有醛基、酮基或酰胺基的分子发生反应,形成共价结合物。正因为如此,2-arm PEG-OA 在药物递送、分子交联、细胞标记和分子识别等多个领域都有广泛的应用。
在药物递送和基因治疗中,2-arm PEG-OA 可通过其氧胺基团与含有醛基或酰胺基的药物、基因载体或靶向分子进行化学修饰。这种修饰可以提高药物分子与生物分子之间的结合能力,从而实现更高效的药物递送。特别是在基因治疗中,2-arm PEG-OA 可以用来连接基因载体和靶向分子,以提高基因的靶向递送效率,并减少药物或基因载体对健康细胞的非特异性影响。
2-arm PEG-OA 还广泛应用于生物材料和纳米载体的制备。其氧胺基团的反应性使其能够在生物医学材料的合成过程中与其他分子或聚合物发生反应,形成多功能材料。通过这种化学修饰,2-arm PEG-OA 可以赋予材料额外的生物相容性、稳定性和功能性,例如用于细胞支架、蛋白质载体和纳米颗粒的构建。
总体来说,2-arm PEG-OA 由于其良好的化学反应性和生物相容性,已经成为药物递送、基因治疗、分子交联和生物标记等领域的重要工具,在生物医学研究中具有广泛的应用前景。

【基本信息】:
产地:西安
纯度:95%
形态:固体/粉末
规格:50mg 100mg 250mg 500mg
储存条件:冷藏
温馨提示:仅用于科研!不可用于人体实验!
【关于我们】:
西安齐岳生物科技有限公司经营的产品种类包括有:合成磷脂、高分子聚乙二醇衍生物、嵌段共聚物、磁性纳米颗粒、环糊精衍生物、大环配体类、荧光量子点、透明质酸衍生物、石墨烯或氧化石墨烯、碳纳米管、富勒烯,具体包含以下产品:DSPE-PEG-N3,磷脂聚乙二醇叠氮;DSPE-PEG-NBD,二硬脂酰基磷脂酰乙醇胺-聚乙二醇-硝基苯恶二唑;DSPE-PEG-Alkyne,二硬脂酰基磷脂酰乙醇胺-聚乙二醇-炔基;DSPE-PEG-Glucose,二硬脂酰基磷脂酰乙醇胺-聚乙二醇-葡萄糖;DSPE-PEG-DOTA,磷脂- 聚乙二醇-四氮杂环配体等等。
【相关产品】:
2-arm PEG-GAA,两臂聚乙二醇戊酸(酰胺键)
2-arm PEG-GA,两臂聚乙二醇戊酸(酯键)
2-arm PEG-HA,两臂聚乙二醇己酸
2-arm PEG-SH,两臂聚乙二醇硫醇
2-arm PEG-SC,两臂聚乙二醇琥珀酰亚胺碳酸酯
2-arm PEG-NPC,两臂聚乙二醇硝基苯碳酸酯




齐岳微信公众号
官方微信
库存查询