三糖-棉籽糖(Raffinose)
棉子糖由a-半乳糖,a-葡萄糖,和β-呋喃果糖聚合而成。(a-1,6糖苷键,a1,2β糖苷键)

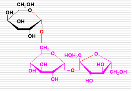
四糖水苏糖
(Stachyose):棉籽糖家族的一员,四糖,**个乳糖通过a-1,6糖苷键连接到棉籽糖的半乳糖残基上

环糊精
芽孢杆菌属有些种环糊精转葡萄糖基移酶作用于淀粉形成。一般由6、7或者8个葡萄糖单位通过a1,4糖苷键连接而成。

多糖(Polysaccharides)也称之为聚糖,是由很多单糖单位构成的高分子糖类物质,是自然界中糖类的主要存在形式。
储存多糖(storagePolysaccharides ) :淀粉、糖原、菊粉等
结构多糖( structuralPolysaccharides ) : 如纤维素、壳多糖、杂多糖等
同多糖(均一性多糖)
(Homopolysaccharides) :
组成单体糖基相同,例如淀粉(starch),糖原(glycogen),纤维素(cellulose) ,几丁质(chitin).
杂多糖
(Heteropolysaccharides) :
组成的单体糖基有两种或两种以上。
供应产品目录:
共聚物 p(HDA-BPhMA)
羟丙基纤维素-聚丙烯酸(HPC-PAA)
PMOXA-r-GMA无规共聚物
接枝共聚物PBLG-g-PTHF
聚醋酸乙烯酯-g-聚四氢呋喃共聚物
壳聚糖-g-聚四氢呋喃接枝共聚物
聚谷氨酸苄酯-g-(聚四氢呋喃-b-聚异丁烯)共聚物
PBLG-g-(PTHF-b-PIB)
聚(L-谷氨酸-γ-苯甲酯)接枝共聚物
EVA-g-St接枝共聚物
EPR-g-PS接枝共聚物
两亲性接枝共聚物PVA-g-PMBA
胰岛素-β-环糊精
2-芳胺基-2-脱氧-α-甲基-D-阿洛糖苷
(4-苄氧基苄基)-2,3-二-O-苄基-β-D-吡喃葡萄糖苷
P(NIPAM-co-BMPN-co-R6GEM)共聚物荧光探针
P(NIPAM-co-BMPN-co-R6GEM)-b-PVK共聚物荧光探针
CD-PGPP
CD-PGAEPP
CD-PGAPP
星形聚甲基丙烯酸缩水甘油酯(CD-PGMA)
THPP-PGMA四(对羟基苯基)卟啉-聚甲基丙烯酸缩水甘油酯
氨基锌酞菁(ZnAPc)聚合物ZnAPc-PGMA
四(4-三甲铵基苯基)卟啉锰(MnTAPP)
MnTAPP-β-CDP
线型共聚物P(GMA-co-MMA)
卟啉功能化的PGMA
四-(二甲氨基苯基)卟啉(T(DMAP)P)
PEG化的聚(α-硫辛酸)(mPEG-PαLA)
纤维素纳米晶(Cellulose Nanocrystalline,CNC)
乙醇胺(EA)功能化的聚甲基丙烯酸缩水甘油酯(PGMA-EA)
聚甲基丙烯酸缩水甘油酯-聚甲基丙烯酸己酯
嵌段共聚物(PGMA-b-PHMA)
聚甲基丙烯酸缩水甘油酯-四苯基乙烯(PGMA-TPE)
聚己内酯-b-聚甲基丙烯酸缩水甘油酯(PCL-b-PGMA)
SiO2-g-PGMA
PMMA-b-PGMA-b-PtBMA
ZIF-8@β-CD金属骨架材料-环糊精
PCL-b-PAA聚已内酯-聚丙烯酸
PEG-PCL-PEI
六磷酸化甘露糖苷修饰牛血清白蛋白M6P-BSA
氨基苯(N-精氨酰甘氨酰天冬氨酰)-6-磷酸-α-D-甘露糖苷
六磷酸甘露糖修饰的人血清白蛋白(M6P-HSA)
烷基-α-D-吡喃甘露糖苷
六臂甘露糖醇-聚乳酸(ML-PLLA)
氨酸封端的甘露糖醇-聚乳酸(ML-PLLA-GC)
Man-QDs甘露糖修饰量子点
Gal-QDs半乳糖修饰量子点
Lac-QDs乳糖修饰量子点
Man-AuNPs甘露糖修饰纳米金
Gal-AuNPs半乳糖修饰纳米金颗粒
Lac-AuNPs乳糖修饰金纳米颗粒
链酶亲和素修饰CdSe/ZnS量子点
WGA-Sepharose 4B
ConA-Sepharose 4B
DSPE-PEG-Man
氨基修饰甘露糖MAN-NH2
活化羧基修饰甘露糖MAN-NHS
生物素修饰甘露糖MAN-Biotin
马来酰亚胺修饰甘露糖MAN-MAL
炔基炔烃功能化甘露糖MAN-ALK
叠氮修饰甘露糖MAN-N3
半乳糖修饰聚己内酯 Gal-PCL
半乳糖修饰巯基化壳聚糖季铵盐
n-十六烷酰-1硫代-β-D-半乳糖苷(Cety-Gal)
半乳糖多聚赖氨酸(Gal-PLL)
半乳糖-胆固醇偶联物Gal-Chol
半乳糖苷修饰的齐墩果酸
硬脂醇半乳糖苷(18-Gal)
半乳糖化重组人生长激素 (Gal-rhGH)
半乳糖化透明质酸Gal-HA
半乳糖化壳聚糖Gal-CS
Gal-PAMAM-RGD半乳糖和靶向肽修饰聚酰胺-胺树枝聚合物
聚乙二醇修饰的MMP-2底物肽-半乳糖苷PEG-PD-Gal
乳糖化修饰海藻酸钠-多聚赖氨酸Alg-Lac-PLL
乳糖化多聚赖氨酸(Lac-PLL)
对2-乙烯基-4,6-二氨基-1,3,5-三嗪单体(VDT)进行半乳糖修饰
PVDTLac-PVDT共聚物
半乳糖凝集素-1(Galectin-1)
金刚烷Ad-绿色荧光蛋白(GFP)-Galectin-1半乳糖凝集素
半乳糖修饰溶菌酶(Gal-Lysozyme)
甘草次酸修饰的壳聚糖(CTS-GA)
甘草次酸修饰海藻酸钠GA-ALG
UDP-Gal尿苷二磷酸半乳糖
去甲斑蝥素-半乳糖(NCTD-Gal)偶联物
甘草次酸硬脂醇酯-3-O-半乳糖苷,Gal-GAOSt
Thio-galactose巯基功能化半乳糖
半乳糖化壳聚糖-氟尿嘧啶偶合物(Gc-FUA)
氨基修饰半乳糖Gal-NH2
活化羧基修饰半乳糖Gal-NHS
生物素修饰半乳糖Gal-Biotin
马来酰亚胺修饰半乳糖Gal-MAL
炔基炔烃功能化半乳糖GAL-ALK
叠氮修饰半乳糖Gal-N3
yyp2021.4.7




齐岳微信公众号
官方微信
库存查询