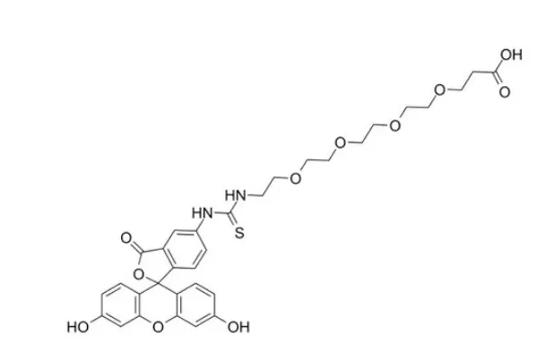
5-FITC-PEG4-COOH,Fluorescein-PEG4-acid,1807518-76-8,荧光素-四聚乙二醇-羧基
发布时间:2023-01-30     作者:ssl   分享到:
一、产品描述
Fluorescein-PEG4-Acid是一种黄原染料,**激发/发射波长为494/517 nm,是一种游离端羧酸。末端羧酸在活化剂(如EDC或HATU)存在下可与伯胺基反应,形成稳定的酰胺键。它可以作为量子产率的标准。亲水性PEG间隔物增加了水介质中的溶解度,减少了结合过程中的空间位阻。

产品名称:5-FITC-PEG4-COOH,Fluorescein-PEG4-acid|1807518-76-8|荧光素-四聚乙二醇-羧基
中文名:荧光素-四聚乙二醇-羧基
英文名:5-FITC-PEG4-COOH,Fluorescein-PEG4-acid
CAS NO:1807518-76-8
纯度:>95%
分子式:C32H34N2O11S
分子量:654.69
外观:橙黄色固体
储存方式:-20℃密封保存、置阴凉干燥处、防潮
厂家:西安齐岳生物科技有限公司
用途:科研
状态:固体/粉末/溶液
产地:西安
储存时间:1年
保存:冷藏
储藏条件:-20℃
温馨提醒:仅供科研,不能用于人体实验
相关产品:
Boc-NH-PEG2-DNP
DNP-PEG3-DNP;1365655-92-0
Amine-PEG4-amine,68960-97-4
Alkyne-PEG2-acid;1859379-85-3
COOtBu-PEG-DNP;DNP-PEG2-t-butyl ester
Alkyne-PEG3-NHS ester;1428629-71-3
CHO-Ph-PEG3-COOtBu;醛基-Ph-三聚乙二醇-叔丁酯
Amine-PEG3-NH-Boc,101187-40-0
Alkyne-PEG4-OH;208827-90-1




齐岳微信公众号
官方微信
库存查询