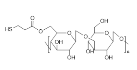
Dextran-SH(葡聚糖-巯基)
Dextran-SH 是在葡聚糖分子上引入巯基(-SH)官能团的功能化多糖衍生物。我们提供这个产品,仅供科研,如有需要,欢迎咨询!
巯基具有很强的反应活性,能与马来酰亚胺、烯烃、炔基或金属离子等发生高效共价结合或配位反应,常用于生物正交反应、纳米粒包覆、胶体稳定及金属纳米材料的表面修饰。Dextran-SH 保持葡聚糖良好的水溶性、生物相容性和可降解性,广泛应用于生物材料、靶向药物递送、水凝胶制备和生物探针开发。巯基的存在使其可作为交联剂参与构建可降解水凝胶或微球,并通过二硫键形成可逆网络结构,赋予材料良好的力学性能及环境响应性。
Dextran-SH 也是贵金属纳米材料(如金纳米粒)合成的重要稳定剂和连接桥梁,适用于肿瘤靶向、光热治疗和分子影像等高端应用。

【基本信息】:
产地:西安
纯度:95%
形态:固体/粉末
规格:50mg 100mg 250mg 500mg
储存条件:冷藏
温馨提示:仅用于科研!不可用于人体实验!
【关于我们】:
西安齐岳生物科技有限公司经营的产品种类包括有:合成磷脂、高分子聚乙二醇衍生物、嵌段共聚物、磁性纳米颗粒、环糊精衍生物、大环配体类、荧光量子点、透明质酸衍生物、石墨烯或氧化石墨烯、碳纳米管、富勒烯,具体包含以下产品:DSPE-PEG-N3,磷脂聚乙二醇叠氮;DSPE-PEG-NBD,二硬脂酰基磷脂酰乙醇胺-聚乙二醇-硝基苯恶二唑;DSPE-PEG-Alkyne,二硬脂酰基磷脂酰乙醇胺-聚乙二醇-炔基;DSPE-PEG-Glucose,二硬脂酰基磷脂酰乙醇胺-聚乙二醇-葡萄糖;DSPE-PEG-DOTA,磷脂- 聚乙二醇-四氮杂环配体等等。
【相关产品】:
AA-PEG-SVA,丙烯酸酯基-聚乙二醇-琥珀酰亚胺戊酸酯基
AA-PEG-Alkyne,丙烯酸酯基-聚乙二醇-炔基
Fmoc-NH-PEG-PA,芴甲氧羰基氨基-聚乙二醇-丙酸基
Boc-NH-PEG-PA,叔丁氧羰基氨基-聚乙二醇-丙酸基
CBZ-NH-PEG-COOH,苄氧羰基氨基-聚乙二醇-羧基
CBZ-NH-PEG-PA,苄氧羰基氨基-聚乙二醇-丙酸基




齐岳微信公众号
官方微信
库存查询