Dextran-NH2(葡聚糖-氨基)
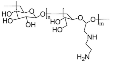
Dextran-NH2 是指在葡聚糖分子上引入伯胺(-NH2)官能团的多糖衍生物,通常通过氨基化或接枝反应合成。我们提供这个产品,仅供科研,如有需要,欢迎咨询!
氨基作为亲核基团,具有良好的反应活性,能与羧基、醛基、异硫氰酸酯及活性酯等多种官能团反应,形成酰胺、席夫碱等稳定键。
Dextran-NH2 具有良好的水溶性和生物相容性,适合用于蛋白、抗体、荧光染料和药物的偶联,是构建多功能纳米载体、水凝胶、组织工程支架及生物传感器的重要材料。氨基密度可调控,方便后续精确修饰或交联。Dextran-NH2 还可作为缓冲层参与层层自组装和表面修饰,广泛应用于生物医药、诊疗一体化和生物材料领域。

【基本信息】:
产地:西安
纯度:95%
形态:固体/粉末
规格:50mg 100mg 250mg 500mg
储存条件:冷藏
温馨提示:仅用于科研!不可用于人体实验!
【关于我们】:
西安齐岳生物科技有限公司经营的产品种类包括有:合成磷脂、高分子聚乙二醇衍生物、嵌段共聚物、磁性纳米颗粒、环糊精衍生物、大环配体类、荧光量子点、透明质酸衍生物、石墨烯或氧化石墨烯、碳纳米管、富勒烯,具体包含以下产品:DSPE-PEG-N3,磷脂聚乙二醇叠氮;DSPE-PEG-NBD,二硬脂酰基磷脂酰乙醇胺-聚乙二醇-硝基苯恶二唑;DSPE-PEG-Alkyne,二硬脂酰基磷脂酰乙醇胺-聚乙二醇-炔基;DSPE-PEG-Glucose,二硬脂酰基磷脂酰乙醇胺-聚乙二醇-葡萄糖;DSPE-PEG-DOTA,磷脂- 聚乙二醇-四氮杂环配体等等。
【相关产品】:
SSA-PEG-SSA,二琥珀酰亚胺琥珀酸酯聚乙二醇生物偶联
mPEG-CH2CH2CH2-OPymPEG,四氢吡喃基氧基丙烷
mPEG-Gluconic,甲氧基聚乙二醇葡萄糖酸
mPEG-BFA,甲氧基聚乙二醇-4-甲酰氨-3-氟苯硼酸
mPEG-Gly-OH,甲氧基聚乙二醇甘氨酸线性
Di-mPEG-Carbonate,二甲氧基聚乙二醇碳酸二乙酯




齐岳微信公众号
官方微信
库存查询