Dextran-MA(甲基丙烯化葡聚糖)
Dextran-MA 是将甲基丙烯酰基(Methacrylate)引入葡聚糖分子上的一种功能化衍生物。我们提供这个产品,仅供科研,如有需要,欢迎咨询!
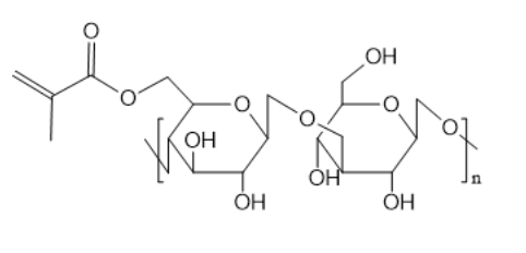
甲基丙烯化使葡聚糖具备光交联或自由基聚合性能,能在光照或引发剂作用下形成水凝胶或三维网络结构。Dextran-MA 保留了葡聚糖原有的优良生物相容性和可降解性,同时具备可控机械性能和可调水凝胶孔隙结构。该材料广泛应用于组织工程支架、3D细胞培养、可注射水凝胶、药物缓释系统及生物打印等领域。水凝胶形成后呈现良好的亲水性、柔韧性和透水性,适合模拟细胞外基质微环境。
Dextran-MA 可与明胶-MA、透明质酸-MA等共同交联形成复合水凝胶,进一步提升力学性能和生物活性。其可控的功能化度(MA修饰率)为结构设计提供了灵活性,是高性能生物材料的重要前驱体。

【基本信息】:
产地:西安
纯度:95%
形态:固体/粉末
规格:50mg 100mg 250mg 500mg
储存条件:冷藏
温馨提示:仅用于科研!不可用于人体实验!
【关于我们】:
西安齐岳生物科技有限公司经营的产品种类包括有:合成磷脂、高分子聚乙二醇衍生物、嵌段共聚物、磁性纳米颗粒、环糊精衍生物、大环配体类、荧光量子点、透明质酸衍生物、石墨烯或氧化石墨烯、碳纳米管、富勒烯,具体包含以下产品:DSPE-PEG-N3,磷脂聚乙二醇叠氮;DSPE-PEG-NBD,二硬脂酰基磷脂酰乙醇胺-聚乙二醇-硝基苯恶二唑;DSPE-PEG-Alkyne,二硬脂酰基磷脂酰乙醇胺-聚乙二醇-炔基;DSPE-PEG-Glucose,二硬脂酰基磷脂酰乙醇胺-聚乙二醇-葡萄糖;DSPE-PEG-DOTA,磷脂- 聚乙二醇-四氮杂环配体等等。
【相关产品】:
FMOC-PEG-OH,芴甲氧羰酰基-聚乙二醇-羟基
Biotin-PEG-HS/HS-PEG-Biotin,生物分子连接剂,生物素-聚乙二醇-巯基
NH2-PEG-Folate/NH2-PEG-FA,氨基-聚乙二醇-叶酸
NH2-PEG-NH2,一种两端带有氨基(NH2)聚乙二醇(PEG)衍生物
NH2-PEG-Silane/Silane-PEG-NH2,有机化合物,氨基-聚乙二醇-硅烷
NHS-PEG-MAL,双功能连接分子,马来酰亚胺-聚乙二醇-活性酯




齐岳微信公众号
官方微信
库存查询