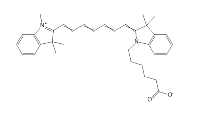
CY7-COOH(花菁染料CY7-羧基)
CY7-COOH 是一种近红外花菁类荧光染料,分子结构中含有活性羧基,便于后续生物分子偶联。我们提供这个产品,仅供科研,如有需要,欢迎咨询!
CY7染料激发波长约750-770 nm,发射波长约780-810 nm,具有强吸收、高荧光量子效率及优异的组织穿透性,广泛应用于活体成像、血管成像及肿瘤靶向荧光检测。羧基的引入使CY7-COOH具备良好的反应活性,可与蛋白、肽、多糖或高分子材料等氨基基团通过EDC/NHS体系形成稳定的酰胺键,实现荧光标记和靶向功能化。
CY7-COOH水溶性较好,可直接用于水相体系,且光稳定性较强,减少光漂白风险。该染料适合构建荧光分子探针、光热治疗载体及多模态诊疗平台。CY7-COOH作为近红外荧光探针,因背景干扰低、成像信噪比高,在生物医学成像和疾病诊断中具有重要应用价值。

【基本信息】:
产地:西安
纯度:95%
形态:固体/粉末
规格:50mg 100mg 250mg 500mg
储存条件:冷藏
温馨提示:仅用于科研!不可用于人体实验!
【关于我们】:
西安齐岳生物科技有限公司经营的产品种类包括有:合成磷脂、高分子聚乙二醇衍生物、嵌段共聚物、磁性纳米颗粒、环糊精衍生物、大环配体类、荧光量子点、透明质酸衍生物、石墨烯或氧化石墨烯、碳纳米管、富勒烯,具体包含以下产品:DSPE-PEG-N3,磷脂聚乙二醇叠氮;DSPE-PEG-NBD,二硬脂酰基磷脂酰乙醇胺-聚乙二醇-硝基苯恶二唑;DSPE-PEG-Alkyne,二硬脂酰基磷脂酰乙醇胺-聚乙二醇-炔基;DSPE-PEG-Glucose,二硬脂酰基磷脂酰乙醇胺-聚乙二醇-葡萄糖;DSPE-PEG-DOTA,磷脂- 聚乙二醇-四氮杂环配体等等。
【相关产品】:
DMG-PEG-HA磷脂-聚乙二醇-透明质酸HA-PEG-DMG
NH2-PEG-RGD氨基-聚乙二醇-多肽RGD-PEG-NH2
DSPE-PEG-FA叶酸聚乙二醇磷脂FA-PEG-DSPE多功能分子
PLA-PEG-FA聚乳酸-聚乙二醇-叶酸一种特定聚合物结构
iRGD-PEG-AC环肽iRGD聚乙二醇丙烯酸酯多功能生物分子
iRGD-PEG-Cy3环肽iRGD聚乙二醇花菁Cy3一种生物偶联分子




齐岳微信公众号
官方微信
库存查询