MPEG-PGA(甲氧基聚乙二醇-聚谷氨酸)介绍
中文名称:甲氧基聚乙二醇-聚谷氨酸
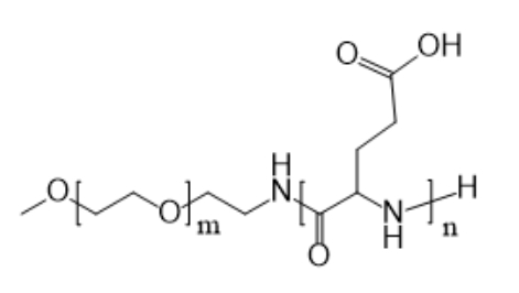
英文名称:MPEG-PGA
MPEG-PGA 是由甲氧基聚乙二醇(MPEG)与聚谷氨酸(PGA)嵌段共聚而成的两性共聚物,集成了亲水性和生物功能性特征。我们提供这个产品,仅供科研,如有需要,欢迎咨询!
MPEG 部分提供良好的水溶性、生物相容性和“隐形”保护作用,可有效降低聚合物被免疫系统识别和清除。PGA 是一种天然氨基酸衍生的生物可降解高分子,含有大量羧基侧链,赋予材料良好的亲水性、可调控的降解性及化学修饰活性。MPEG-PGA 可在水相中自组装形成胶束或纳米粒,PGA段作为载药核心,能够负载阳离子药物、蛋白质或肽类,MPEG外壳提高稳定性,防止纳米粒聚集。其优异的生物降解性和环境响应特性,使其成为理想的药物控释载体、生物成像探针和基因递送平台。
广泛应用于抗*药物、蛋白、核酸递送系统及组织工程领域,是前沿纳米医药和生物技术研发的重要材料。

【基本信息】:
产地:西安
纯度:95%
形态:固体/粉末
规格:50mg 100mg 250mg 500mg
储存条件:冷藏
温馨提示:仅用于科研!不可用于人体实验!
【关于我们】:
西安齐岳生物科技有限公司经营的产品种类包括有:合成磷脂、高分子聚乙二醇衍生物、嵌段共聚物、磁性纳米颗粒、环糊精衍生物、大环配体类、荧光量子点、透明质酸衍生物、石墨烯或氧化石墨烯、碳纳米管、富勒烯,具体包含以下产品:DSPE-PEG-N3,磷脂聚乙二醇叠氮;DSPE-PEG-NBD,二硬脂酰基磷脂酰乙醇胺-聚乙二醇-硝基苯恶二唑;DSPE-PEG-Alkyne,二硬脂酰基磷脂酰乙醇胺-聚乙二醇-炔基;DSPE-PEG-Glucose,二硬脂酰基磷脂酰乙醇胺-聚乙二醇-葡萄糖;DSPE-PEG-DOTA,磷脂- 聚乙二醇-四氮杂环配体等等。
【相关产品】:
DOTA-PEG4-MeTz,小分子环状螯合剂,特异性标记
DOTA-MeTz,DOTA-甲基四嗪,配位和螯合能力,多肽分子探针,CAS号610950-41-8
DOTA-Maleimide,马来酰亚胺-DOTA,大环螯合剂
DOTAGA-(COOt-Bu)4 DOTA-GA(tBu)4,配位聚合物,CAS号306776-79-4
DOTA-DBCO,双功能螯合剂,有效地结合并稳定各种金属离子




齐岳微信公众号
官方微信
库存查询