中文名称:磺化CY5.5-二苯基环辛炔
英文名称:Cy5.5 DBCO
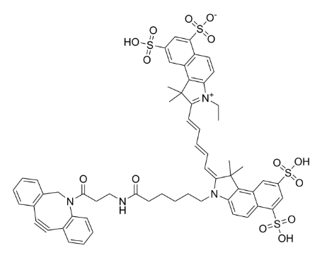
分子式: C59H58N4O14S4
分子量: 1175.37
CAS号: 1857352-95-4
储存条件:避光、-20℃干燥保存
分子式:

化学结构与组成
CY5.5-DBCO(磺化CY5.5-二苯基环辛炔)是一种功能性荧光标记试剂,由磺化CY5.5荧光团与二苯并环辛炔(DBCO)基团组成。CY5.5属于菁染料系列,具有多聚次甲基桥链结构,发射波长在700-750nm近红外区,适合深层组织成像。DBCO基团含环辛炔结构,作为无铜点击化学反应位点,能与叠氮基团发生特异性环加成反应,形成稳定三唑环产物。
光学与反应特性
该分子CAS号为1857352-95-4,磺化修饰赋予其良好的水溶性,适用于水相生物体系标记。DBCO基团反应活性高,在生理条件下即可与叠氮化合物发生高效、高选择性的生物正交反应,无需金属催化剂,显著降低细胞毒性。CY5.5荧光团具有高消光系数和荧光亮度,在生物成像中表现出优良的信号穿透力和检测灵敏度。
生物学应用
CY5.5-DBCO广泛应用于生物分子标记领域,可用于蛋白质、核酸等生物大分子的荧光标记与追踪。通过无铜点击化学反应,可实现活体细胞、组织及动物模型的靶向成像。其近红外发射特性支持多重荧光标记实验,与其他可见光区荧光染料联用,实现多组分同步检测。此外,该试剂还用于构建药物递送系统,通过标记药物分子监测其在生物体内的分布与代谢过程。
实验操作规范
试剂需避光、-20℃干燥保存,常见规格为1mg、5mg、10mg,纯度≥95%。使用前需平衡至室温,现配现用。实验过程需佩戴防护装备,避免接触皮肤或吸入。废液需按实验室规范处理,确保环境安全。该试剂仅限科研实验使用,不可用于临床或食用。
关于我们:
西安齐岳生物科技经营的产品种类包括有:合成磷脂、高分子聚乙二醇衍生物、嵌段共聚物、磁性纳米颗粒、纳米金及纳米金棒、近红外荧光染料、活性荧光染料、荧光标记物、蛋白交联剂、小分子PEG衍生物、点击化学产品、树枝状聚合物、环糊精衍生物、大环配体类、荧光量子点、透明质酸衍生物、石墨烯或氧化石墨烯、碳纳米管、富勒烯,二氧化硅及介孔二氧化硅,聚合物微球,近红外荧光染料,聚苯乙烯微球,上转换纳米发光颗粒,MRI核磁造影产品,荧光蛋白及荧光探针等等。
相关产品:
发射540/660nm核壳型上转换纳米粒子
环己烷分散的核壳稀土上转换发光颗粒
组分NaYF4,Yb18%,Er2%@NaYF4核壳上转换
NaGdF4:Yb,Er@NaGdF4核壳型上转换发光颗粒
上转换材料NaYF4:Er3+
AZD6244 sulfate salt,CAS942275-12-9
LFM-A13,CAS62004-35-7
Ce6修饰上转换纳米发光颗粒
磁性纳米颗粒包覆上转换发光纳米粒子
油酸修饰上转换纳米颗粒




齐岳微信公众号
官方微信
库存查询