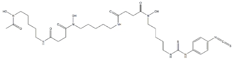
p-SCN-Bn-Deferoxamine(CAS: 1222468-90-7) – 螯合剂,金属离子去除
p-SCN-Bn-Deferoxamine(p-异硫氰酸苄基去铁胺)是一种改性去铁胺衍生物,专门用于金属离子螯合,特别是 Fe³⁺、Zr⁴⁺、Ga³⁺ 等高价金属。我们提供这个产品,仅供科研,如有需要,欢迎咨询!
其去铁胺(Deferoxamine, DFO)核心结构可与金属离子形成高度稳定的络合物,被广泛用于放射性金属标记,如 ⁶⁸Ga 标记用于 PET 成像。p-SCN-Bn 基团提供共价修饰位点,使其能够连接至抗体、蛋白质或纳米载体,实现靶向标记。
该化合物在医学领域可用于治疗铁超载疾病,同时在核医学中广泛用于金属螯合剂的开发,提高诊断和治疗的精确度。其高亲和力和生物相容性使其成为金属离子稳定化和药物研发的重要工具。

【基本信息】:
产地:西安
纯度:95%
形态:固体/粉末
规格:50mg 100mg 250mg 500mg
储存条件:冷藏
温馨提示:仅用于科研!不可用于人体实验!
【关于我们】:
西安齐岳生物科技有限公司经营的产品种类包括有:合成磷脂、高分子聚乙二醇衍生物、嵌段共聚物、磁性纳米颗粒、环糊精衍生物、大环配体类、荧光量子点、透明质酸衍生物、石墨烯或氧化石墨烯、碳纳米管、富勒烯,具体包含以下产品:DSPE-PEG-N3,磷脂聚乙二醇叠氮;DSPE-PEG-NBD,二硬脂酰基磷脂酰乙醇胺-聚乙二醇-硝基苯恶二唑;DSPE-PEG-Alkyne,二硬脂酰基磷脂酰乙醇胺-聚乙二醇-炔基;DSPE-PEG-Glucose,二硬脂酰基磷脂酰乙醇胺-聚乙二醇-葡萄糖;DSPE-PEG-DOTA,磷脂- 聚乙二醇-四氮杂环配体等等。
【相关产品】:
Y-shape PEG-GAA,Y型聚乙二醇戊酸(酰胺键)
Y-shape PEG-VA,Y型聚乙二醇戊酸
Y-shape PEG-SAA,Y型聚乙二醇琥珀酸(酰胺键)
Y-shape PEG-SA,Y型聚乙二醇琥珀酸(酯键)
Y-shape PEG-BA,Y型聚乙二醇丁酸
Y-shape PEG-PA,Y型聚乙二醇丙酸
Y-shape PEG-OH,Y型聚乙二醇聚乙二醇衍生物




齐岳微信公众号
官方微信
库存查询