DOTA-(CONH₂)₃:DO3AM-Acetic Acid,多功能螯合剂
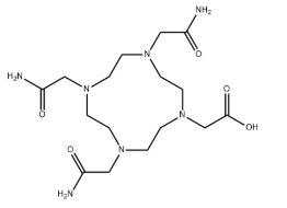
DOTA-(CONH₂)₃(CAS 号 913528-04-8),又称 DO3AM-Acetic Acid,是一种三酰胺修饰的 DOTA 衍生物,具有优异的金属螯合能力和水溶性。我们提供这个产品,仅供科研,如有需要,欢迎咨询!
其 DOTA 结构能够稳定配位镧系金属(Gd³⁺、Lu³⁺)及放射性核素(⁶⁸Ga、¹⁷⁷Lu),适用于 PET/SPECT 成像和 MRI 造影。酰胺(-CONH₂)基团能够改善分子的亲水性,同时提供额外的化学修饰位点,可用于蛋白质、多肽或纳米载体的偶联。
主要应用:
放射性示踪剂:稳定配位⁶⁸Ga、¹⁷⁷Lu 等放射性金属,提高成像稳定性。
MRI 造影剂:与 Gd³⁺ 络合,提高磁共振成像的清晰度。
生物偶联:酰胺基团可用于修饰蛋白质或纳米材料,提高生物相容性。
药物载体:用于药物修饰,提高稳定性和靶向性。
DOTA-(CONH₂)₃ 结合了金属螯合和生物修饰功能,在分子影像、靶向治疗和纳米医学研究中具有广泛应用。

【基本信息】:
产地:西安
纯度:95%
形态:固体/粉末
规格:50mg 100mg 250mg 500mg
储存条件:冷藏
温馨提示:仅用于科研!不可用于人体实验!
【关于我们】:
西安齐岳生物科技有限公司经营的产品种类包括有:合成磷脂、高分子聚乙二醇衍生物、嵌段共聚物、磁性纳米颗粒、环糊精衍生物、大环配体类、荧光量子点、透明质酸衍生物、石墨烯或氧化石墨烯、碳纳米管、富勒烯,具体包含以下产品:DSPE-PEG-N3,磷脂聚乙二醇叠氮;DSPE-PEG-NBD,二硬脂酰基磷脂酰乙醇胺-聚乙二醇-硝基苯恶二唑;DSPE-PEG-Alkyne,二硬脂酰基磷脂酰乙醇胺-聚乙二醇-炔基;DSPE-PEG-Glucose,二硬脂酰基磷脂酰乙醇胺-聚乙二醇-葡萄糖;DSPE-PEG-DOTA,磷脂- 聚乙二醇-四氮杂环配体等等。
【相关产品】:
MAL-PEG-Alkyne,Α-炔基-Ω-马来酰亚胺基聚乙二醇
NHS-PEG-Alkyne,炔基-聚乙二醇-活性酯
Silane-PEG-Acrylates,硅烷-聚乙二醇-丙烯酸酯
Silane-PEG-OPSS,硅烷-聚乙二醇-邻二硫吡啶
Silane-PEG-Alkyne,硅烷聚乙二醇炔基
Silane-PEG-CHO,硅烷-聚乙二醇-醛基




齐岳微信公众号
官方微信
库存查询