产品详情:
CAS号:1628790-36-2;1628897-78-8(不含阴离子)
外观:绿色固体
纯度:95%+
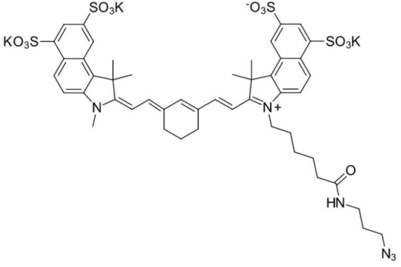
化学式:C48H55ClN6O
溶解度:溶于有机溶剂(DMSO、DMF、二氯甲烷),水中溶解度低
分子量:767.44
储藏条件:-20℃
激发:788nm
发射:808nm

Cyanine7.5 是一种具有长波红外荧光的 NIR 染料。该衍生物是用于 Click Chemistry 的叠氮化物。可用于构建包含 Cyanine7.5、近红外荧光染料和 Cy7.5- 的改进类似物的各种标记生物分子。当用于体内成像时,这些偶联物可以利用 NIR 组织的透明度。这种荧光团也可用于其他荧光应用,特别是需要低荧光背景。叠氮化物可用作 DMSO 溶液,可用于一般点击化学标记协议,或以固体形式用于定制标记应用。结构具有刚性桥接聚甲炔链,可将量子产率提高 20%,从而产生更亮的信号。
我们提供各种功能基团的荧光标记衍生物产品,荧光标记偶连各种亲水疏水聚合物、各种蛋白、各种小分子等等。也提供荧光素FITC、罗丹明、辣根酶HRP、生物素Biotin、Cy7、Cy5、Cy3、Cy5.5、ICG标记药物各种多肽、凝集素等产品的定制
厂家:西安齐岳生物科技有限公司
用途:科研
状态:固体/粉末/溶液
产地:西安
储存时间:1年
保存:冷藏
储藏条件:-20℃
温馨提醒:仅供科研,不能用于人体实验
相关产品:
Cy3-p62 Cy3标记自噬底物蛋白
Cy3-LDM Cy3标记辅基蛋白
Cy3-PeaT1 Cy3标记纯化的PeaT1蛋白分子
Cy3-Discosoma Cy3标记荧光蛋白基因
Cy3-Calmodulin Cy3标记钙调素/钙调蛋白
Cy3-OMP-IgG Cy3标记鸡奇异变形杆菌外膜蛋白
Cy3-MCP Cy3标记瘤胃微生物蛋白(MCP)




齐岳微信公众号
官方微信
库存查询