1189194-64-6,DOTA-(COOt-Bu)3-CH2-Alkynyl(三叔丁酯DOTA-炔基衍生物)
英文名称: 1,4,7,10-Tetraazacyclododecane-1,4,7-triacetic acid, 10-(2-propyn-1-yl)-, 1,4,7-tris(1,1-dimethylethyl) ester
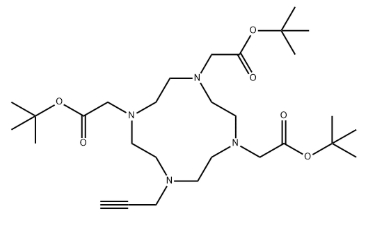
中文名称: 1,4,7-三(1,1-二甲基乙基)10-(2-丙基 -1-基) -1,4,7,10-四氮杂环十二烷 -1,4,7-三乙酸酯
MF: C29H52N4O6
MW: 552.75
CAS: 1189194-64-6

DOTA-(COOt-Bu)3-CH2-Alkynyl 是一种基于DOTA(1,4,7,10-四氮杂环十二烷四乙酸)骨架衍生的功能化大环配体,其分子结构中包含三个叔丁酯保护的羧酸基团和一个通过甲基链连接的炔基官能团。这种结构使其在分子修饰和生物探针设计中具有高度的通用性和稳定性,特别适用于配位化学和“点击”生物正交化学应用。我们提供这个产品,仅供科研,如有需要,欢迎咨询!
DOTA 骨架作为经典的大环配体,具有良好的金属离子螯合能力,尤其对Gd³⁺、Cu²⁺、Ga³⁺、Lu³⁺等三价或二价金属离子具有极强的选择性和稳定配位能力。因此它广泛用于MRI造影剂、放射性示踪剂和靶向药物递送系统中。而DOTA-(COOt-Bu)3-CH2-Alkynyl 则是在DOTA基础上引入炔基侧链,使其具备参与铜催化的炔-叠氮“点击化学”反应能力,从而能够与多种叠氮官能分子(如多肽、寡核苷酸、荧光染料等)实现高效偶联。
该化合物中三个羧酸基以叔丁酯形式保护,不仅提高了其有机溶剂中的溶解度,也使其在合成过程中的稳定性更强,避免过早水解或与杂质反应。最终应用前可通过温和酸解去保护,恢复羧酸位点以进行金属配位或进一步修饰。
此类炔基化DOTA 衍生物在靶向诊疗一体化领域展现出极高价值。例如,通过与标记分子结合后形成 DOTA-M-X 结构,既可用于靶向显像,也可用于药物递送,并与体内蛋白、抗体或寡核苷酸等形成稳定偶联,提升靶向性和半衰期。
本品多为白色至类白色固体,可溶于DMF、DMSO、乙腈等有机溶剂。应避光、低温储存,避免高湿环境以防保护基水解。
总之,DOTA-(COOt-Bu)3-CH2-Alkynyl 兼具强配位性、炔基功能化活性与良好稳定性,是现代分子成像、靶向治疗、放射性配体设计中的重要构建模块,适用于科研和产业化各类需求。
【基本信息】:
生产地:陕西·西安
纯度标准:≥95%(高纯级)
物理形态:粉末状固体
包装规格:50mg / 100mg / 250mg / 500mg(灵活选量)
贮存要求:低温避光存储
特别声明:本品为科研专用!禁止临床或人体应用!
【关于我们】:
西安齐岳生物科技有限公司专注于各类生物科研产品,提供广泛的产品选择,包括合成磷脂、高分子聚乙二醇衍生物、嵌段共聚物、磁性纳米颗粒、纳米金及纳米金棒、近红外荧光染料、活性荧光染料、荧光标记物、蛋白交联剂、小分子PEG衍生物、点击化学产品、树枝状聚合物、环糊精衍生物、大环配体类、荧光量子点、透明质酸衍生物、石墨烯或氧化石墨烯、碳纳米管、富勒烯、二氧化硅及介孔二氧化硅、聚合物微球、近红外荧光染料、聚苯乙烯微球、上转换纳米发光颗粒、MRI核磁造影产品、荧光蛋白及荧光探针等多种高性能科研材料。
【相关产品】:
4arm PEG NH2,四臂聚乙二醇氨基, 4ARM-PEG-NH2
4arm PEG NHS,四臂-聚乙二醇-活性酯
4arm PEG OH,四臂PEG羟基,聚乙二醇羟基(4ARM-PEG-OH)
4ARM-PEG-Silane 四臂聚乙二醇硅烷
4CZIPN-Me
4CzIPN
CAS号537039-67-1,UDP-6-叠氮-6-脱氧-D-葡萄糖二钠盐
CAS号56882-73-6,5-环丁基-1,3,4-噻二唑-2-胺
5-FITC Biotin,CAS号134759-22-1
5-FITC-C2-amine
5-FITC-Maleimide,CAS号2228857-33-6
5-FITC-Tetrazine,CAS号2264035-11-0
5-HMSiR-Hochest原料
5-ROX NHS ester,CAS号344402-35-3 纯度
5-TAMRA,CAS号91809-66-4
CAS号61362-77-4




齐岳微信公众号
官方微信
库存查询