英文名称: O-(2-AMINOETHYL)-O-(2-AZIDOETHYL)NONAETHYLENE GLYCOL
中文名称: 氨基-十一聚乙二醇-叠氮
MF: C22H46N4O10
MW: N/A
CAS: 912849-73-1

描述:
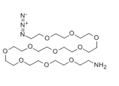
N3-PEG10-CH2CH2NH2 是一种双功能聚乙二醇化合物,结构包括一个叠氮基团(N₃)、一个氨基基团(NH₂)和10个重复的乙二醇单元(PEG10)。这种分子兼具亲水性、柔性和反应活性,可用于连接和修饰不同类型的生物或材料组分。
叠氮基团位于PEG链的一端,具有良好的化学稳定性但在特定条件下可参与高效的环加成反应,尤其是与炔基反应形成三唑环。这种“点击”反应具有高选择性、高产率和环境适应性,广泛应用于构建多功能生物分子探针、智能纳米载体及高分子组装体系。
PEG10 链段提供适中的空间间隔,使连接的两端功能基团具备足够的分子自由度,在一定程度上减弱空间位阻影响,同时提高反应效率。该分子的亲水性有助于改善整体水溶性和分散性,尤其适用于水相生物反应体系。
另一端的氨基基团可与羧基、NHS酯等官能团反应,形成稳定的酰胺键。该端氨基常用于蛋白修饰、抗体连接、表面官能化或交联反应,也适合在纳米颗粒表面实现稳定的共价连接。
N3-PEG10-CH2CH2NH2 作为连接器(linker)和表面修饰剂在多个研究方向中具有实际价值,如构建药物载体、调控纳米结构界面、开发分子识别体系以及生物传感器开发等。
此化合物通常以液体或低熔点固体形式存在,使用和储存时应注意密封、防潮,并建议冷冻保存以保持反应活性。溶剂选择上,可使用水、DMSO、DMF 或乙醇类溶剂。
产地:西安
储存条件:建议低温冷藏
产品形式:固体、粉末或溶液可选
包装规格:100mg、250mg、500mg 瓶装
品牌简介:
西安齐岳生物专注于科研试剂的研发与销售,产品涵盖PEG衍生物、磷脂、纳米材料、荧光染料等多个方向,并提供定制合成服务,仅供科研使用。
以上信息由编辑kx整理,仅供科研用途。
产品推荐:
罗丹明PEG生物素,RB-PEG-Biotin
磷脂聚乙二醇生物素
18194-24-6,DMPC(1,2-二肉豆蔻酰-sn-甘油-3-磷酸胆碱)
MPEG5000-DA,MPEG5000-AC,甲氧基PEG丙烯酸酯,MW:5000
DSPE-PEG1000-ALK
DOPC(1,2-二油酰基-sn-甘油-3-磷酸胆碱)
DPPA(1,2-二棕榈酰-sn-甘油-3-磷酸,钠盐)
FMOC-NH-PEG2000-NH2
活性酯PEG羟基;NHS-PEG-OH,MW:3400
(+)-Biotin-PEG12-OH;N/A
胆固醇聚乙二醇马来酰亚胺
六臂聚乙二醇荧光素




齐岳微信公众号
官方微信
库存查询