DPPE-RB:红色荧光磷脂用于膜成像与脂质体标记
一、产品基本信息
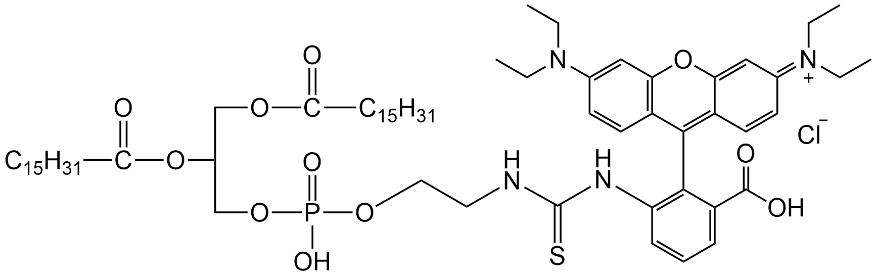
产品名称:DPPE-RB
英文名称:1,2-Dipalmitoyl-sn-glycero-3-phosphoethanolamine-rhodamine B
简称:DPPE-Rhodamine B 或 DPPE-RB
分子式:C₅₁H₉₀N₃O₁₀P(具体依标记结构可能略有不同)
分子量:约950–1100 Da(根据具体标记位点和纯度)
外观:深红色或紫红色固体或冻干粉
溶解性:易溶于有机溶剂(如氯仿、DMSO、乙醇),可分散于水相中(需辅助如超声或形成脂质体)
二、产品结构与组成
DPPE-RB 是一种将荧光染料罗丹明B(Rhodamine B)共价连接在磷脂DPPE上的荧光磷脂分子。
DPPE(1,2-二棕榈酰-sn-甘油-3-磷酸乙醇胺):是一种天然或合成磷脂,拥有两个16碳饱和脂肪酸链(C16:0),具有良好的膜锚定性,广泛用于脂质体和细胞膜模拟系统中。
Rhodamine B:是一种经典的荧光染料,发射波长位于红色区域(Ex ~560 nm, Em ~580–590 nm),具有高量子产率和良好的光稳定性。
二者通过酰胺键或醚键进行稳定共价连接,既保持了DPPE的膜锚定功能,又赋予其强烈的红色荧光特性。
三、物化性质
属性 描述
分子特性 两亲性分子,疏水尾部+亲水头部
荧光特性 激发波长 ~560 nm,发射波长 ~580–590 nm
光稳定性 高,适合长时间荧光成像
储存条件 -20°C,避光,干燥保存
溶解性 DMSO、DMF、氯仿、乙醇中高度溶解
使用浓度建议 0.1–5 mol%(在脂质体或膜系统中掺混)
四、应用领域
DPPE-RB 是一款理想的膜标记探针,广泛应用于以下领域:
1. 脂质体标记与追踪
DPPE-RB 能够稳定插入磷脂双层膜中,用于标记脂质体、囊泡、微球等载体。其红色荧光信号可用于:
追踪脂质体在细胞内的摄取与释放过程;
多色成像中作为脂膜标记参考;
构建多功能纳米粒子(如靶向药物递送系统)中的荧光标签。
2. 细胞膜染色
通过与细胞膜融合或转染载体进入细胞,DPPE-RB 可以用于细胞膜的可视化与动态成像,适用于共聚焦显微镜、活细胞成像等。
3. 纳米粒子修饰
DPPE-RB 也常用于修饰聚合物纳米粒子或其他纳米材料的表面,实现膜样修饰结构和荧光功能一体化。
4. 生物分布与体内成像
在体内或体外荧光成像中,DPPE-RB 可作为示踪探针,通过检测其红色荧光对脂质体、外泌体、纳米载体等生物材料的分布进行实时监测。
5. FRET研究(荧光共振能量转移)
可与适配的FRET对(如FITC、Cy3等)组合使用,用于膜融合、纳米粒子聚集、脂质交换等生物过程的研究。
五、使用方法建议
制备脂质体/纳米粒子时加入比例建议:
通常与其他脂质(如DPPC、Chol、DSPE-PEG等)混合,掺入比例为 0.1–1 mol%,过高比例可能影响膜稳定性;
可采用薄膜水化法、微乳液法、注射法等制备方式;
使用后需避光操作,以避免荧光衰减。
六、注意事项
避光保存:罗丹明染料光敏性强,使用和储存过程中需避免阳光和紫外光直射。
溶解方式:建议先溶于DMSO或氯仿等,再稀释至水相中;若使用水相体系,建议结合超声或乳化处理。
纯度和检测:产品通常经HPLC、质谱检测纯度与结构,荧光光谱数据也应随货提供。
兼容性:DPPE-RB 兼容多种膜脂体系,但不建议在高温/高盐/强酸碱环境中长期暴露。
七、订购信息(示例)
项目 描述
货号 DPPE-RB-100
规格 1 mg / 5 mg / 10 mg / 定制
纯度 ≥95%(HPLC)
包装形式 棕色小瓶,干燥避光密封
提供资料 HPLC图谱,MS谱图,荧光光谱等
八、总结
DPPE-RB 作为一款红色荧光标记的磷脂分子,在纳米药物递送、生物膜模型构建、细胞成像、材料示踪等方面展现了优异的性能。其兼具膜锚定能力与强烈荧光信号,是理想的多功能膜标记工具。通过合理设计与其他功能分子的协同使用,DPPE-RB 可广泛服务于药物研究、基础生物学和材料科学等交叉领域。
西安齐岳生物科技有限公司专注于高品质聚乙二醇(PEG)及其衍生物的研发与生产,提供涵盖线性PEG、支化PEG、多官能团PEG、嵌段共聚物PEG等在内的多种基础结构产品,广泛应用于生物医药、诊断试剂、纳米材料及化学合成等领域。公司具备灵活的定制能力,可根据客户需求提供特定分子量(200–20,000 Da)、官能团(如-NH₂、-COOH、-SH、-N₃、-Biotin、荧光标记等)以及不同结构的PEG修饰服务。凭借先进的合成平台与严格的质量控制体系,齐岳生物致力于为科研、药物开发和材料应用提供可靠、稳定、可追溯的PEG解决方案,支持客户实现从实验室研究到产业转化的各类需求。
厂家:西安齐岳生物科技有限公司
用途:科研
状态:固体/粉末/溶液
产地:西安
温馨提醒:仅供科研,不能用于人体实验!
相关产品:
DSPE-PEG2K-L-Arg
DSPE-PEG2K-o-phospho-tyrosine
DSPE-PEG2K-valine
DSPE-PEG2K-Diphosphate
DSPE-PEG2K-SA
DSPE-PEG2K-FPBA
DPPE-RB
DSPE-PEG2K-FPBA(2)
DOPS-MPEG2000




齐岳微信公众号
官方微信
库存查询