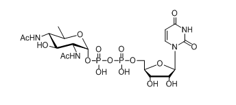
UDP-diBAcNAc,UDP-4n-D-FucNAc的结构式
发布时间:2021-06-17     作者:zhn   分享到:
UDP-diBAcNAc 核苷酸修饰环辛炔

UDP-4n-D-FucNAc

西安齐岳生物提供UDP(尿苷二磷酸),GDP(二磷酸鸟嘌呤核苷)?与GMP(一磷酸鸟苷/鸟苷酸)偶联各种糖(赤藓糖、果糖、岩藻糖、半乳糖、葡萄糖等)。
核苷酸糖是核苷二磷酸或核苷一磷酸与不同单糖异头体羟基形成的衍生物,是糖类合成或相互转换时的活化形式,如GDP-Fuc,CMP-SA,UDP-Gal。核苷酸糖是核糖核苷酸的组成部分,核糖核苷酸分解生成核苷酸糖,合成核糖核苷酸是消耗核苷酸糖。
相关产品:
GDP-PerNAc
UDP-VioNH2
UDP-VioNAc
UDP-ManNAcA
UDP-D-QuiNAc
UDP-GlcNAcA
UDP-D-XylNAc
UDP-4n-D-FucNAc
UDP-diBAcNAc
UDP-L-AltNAc
UDP-L-PneNAc
UDP-L-RhaNAc
UDP-GlcNAc3NAcA
UDP-GlcNAcA
厂家:西安齐岳生物
纯度:98%
保存:冷藏
储藏条件:-20℃
货期:现货
配送:多种快递
用途:科研
状态:固体/粉末
产地:西安
储存时间:1年
温馨提示:西安齐岳生物科技有限公司供应的产品仅用于科研,不能用于人体和其他商业用途zhn2021.06.17




齐岳微信公众号
官方微信
库存查询