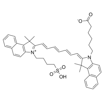
常用名 吲哚菁绿-羧酸
英文名 ICG-carboxylic acid
CAS号 181934-09-8
分子量 730.95
密度 N/A
沸点 N/A

分子式 C45H50N2O5S
熔点 N/A
MSDS N/A
闪点 N/A
产品简介:
ICG-COOH是一种可溶于水的荧光染料衍生物,属于吲哚菁绿(Indocyanine Green, ICG)系列的羧基修饰产品。ICG-COOH保持了ICG原有的光学特性,同时通过末端的羧基提供了化学修饰位点,使其可进一步与多种生物分子进行偶联反应,实现功能化改造。
从化学结构上看,ICG-COOH的吲哚菁绿骨架赋予其在近红外波段(NIR,约780-810nm吸收,约810-830nm发射)强烈的吸收和发射能力,具有较低的背景干扰和较高的穿透能力。这使得其在荧光成像、光学分析以及生物探针开发中具有广泛的应用价值。羧基官能团的存在,使ICG-COOH能够通过酯化、酰胺化等化学反应与蛋白质、多肽或小分子连接,方便在实验中实现定向标记或功能化。
在实际应用中,ICG-COOH常用于近红外成像、荧光探针合成以及生物分子追踪等领域。由于其发射波段处于近红外区域,可以有效减少生物组织的自发荧光干扰,提供更清晰的信号。在药物递送、纳米材料研究以及细胞成像实验中,ICG-COOH也可作为标记工具,帮助观察和分析分子分布与动态变化。
使用ICG-COOH时,应注意其光稳定性和溶液环境。尽管ICG-COOH水溶性较好,但仍需避免长时间光照及高温条件,以保持其荧光强度。标记反应通常在弱碱性或中性缓冲液中进行,羧基可通过EDC/NHS等常用偶联方法与氨基分子形成稳定的酰胺键。反应完成后,通常需纯化以去除未反应的染料,以获得纯化标记物,保证后续实验的可靠性。
总的来说,ICG-COOH结合了吲哚菁绿的近红外光学特性和羧基化学活性,是一种可用于多种生物分子标记和成像研究的工具。其操作灵活,成像信号稳定,为科研人员提供了一种方便、直观的荧光检测方式。
来源产地:
本产品由陕西省西安市生产,品质可靠,可满足科研实验的需求
包装规格:
提供多种规格选择,瓶装包装灵活,用户可根据实验需求选择 50 mg、100 mg、250 mg 或 500 mg
产品形态:
可提供固体、粉末及溶液形式,适应不同实验操作需求
储存说明:
建议置于低温冷藏环境,避免光照和潮湿,以保持产品活性与性能稳定
品牌介绍:
西安齐岳生物科技有限公司专注于科研药物传递及纳米靶向技术的研发和生产。公司产品涵盖合成磷脂、PEG 系列衍生物、嵌段共聚物、纳米金属及磁性纳米颗粒、介孔二氧化硅、活性荧光染料、荧光量子点、点击化学试剂及大环配体等多个领域。秉持创新理念,致力于为国内科研机构和相关单位提供高质量科研试剂,支持科学研究的顺利开展。
(内容整理:小编kx,仅供科研用途)
产品推荐:
Mito-Tracker Deep Red FM,873315-86-7
Py-Tetrazine-Py-NH2_1055983-02-2
IR-808 alkyne 近红外吲哚类花菁染料IR-808
Idasanutlin,1229705-06-9
3,5-Dinitro-1,2-phenylenediamine,3694-51-7
DOTA-FYLEHPSGGLAV-OH
1442106-10-6 MM-401
95633-27-5,7-Azido-4-methylcoumarin




齐岳微信公众号
官方微信
库存查询