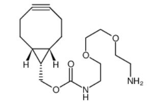
英文名 endo-BCN-PEG2-NH2
CAS号 1263166-93-3
分子量 324.41500
密度 N/A

沸点 N/A
分子式 C17H28N2O4
熔点 N/A
产品简介:
endo-BCN-PEG2-NH2是一种功能化分子,包含末端二苯并环辛炔(BCN)、短链聚乙二醇(PEG2)以及氨基(NH2)官能团。该结构将化学反应活性、可控空间距离和水溶性相结合,适用于生物分子修饰、偶联及探针制备。
化学特性方面,endo-BCN提供与叠氮化物通过SPAAC反应特异性偶联的能力,无需催化剂即可实现高效共价连接。PEG2链提供了良好的水溶性和分子间空间缓冲作用,降低标记分子之间的非特异性相互作用。末端氨基可用于进一步偶联其他活性分子或在化学修饰中作为反应点,增强分子功能化灵活性。
应用上,endo-BCN-PEG2-NH2广泛用于蛋白质、多肽或小分子标记,以及荧光探针和功能性载体的构建。其BCN基团可实现快速点击反应,PEG2链提供水相操作便利性,氨基末端可进一步连接药物、荧光团或其他功能化分子。其在细胞成像、分子追踪和多功能探针制备中应用广泛,尤其适合需要控制分子空间和水溶性环境的实验体系。
操作注意方面,应避免高温和长时间光照,以维持BCN活性和PEG链结构完整。标记或偶联反应通常在中性或弱碱性缓冲液中进行,确保点击反应效率和氨基可反应性。标记完成后,可通过透析或柱层析去除未反应分子。储存建议低温避光,以延长化学活性和使用寿命。
总体来看,endo-BCN-PEG2-NH2是一种集水溶性、反应活性和功能化潜力于一体的多功能工具分子。其设计兼顾化学偶联效率和分子操作便利性,为分子标记、探针开发和功能化载体构建提供了可靠方案。
来源产地:
本产品由陕西省西安市生产,品质可靠,可满足科研实验的需求
包装规格:
提供多种规格选择,瓶装包装灵活,用户可根据实验需求选择 50 mg、100 mg、250 mg 或 500 mg
产品形态:
可提供固体、粉末及溶液形式,适应不同实验操作需求
储存说明:
建议置于低温冷藏环境,避免光照和潮湿,以保持产品活性与性能稳定
品牌介绍:
西安齐岳生物科技有限公司专注于科研药物传递及纳米靶向技术的研发和生产。公司产品涵盖合成磷脂、PEG 系列衍生物、嵌段共聚物、纳米金属及磁性纳米颗粒、介孔二氧化硅、活性荧光染料、荧光量子点、点击化学试剂及大环配体等多个领域。秉持创新理念,致力于为国内科研机构和相关单位提供高质量科研试剂,支持科学研究的顺利开展。
(内容整理:小编kx,仅供科研用途)
产品推荐:
AT 488 NHS ester AT 488 SE AT 488活性酯
DSPE-PEG PEG-DSPE 磷脂-聚乙二醇
119616-38-5,生物素-磺酸琥珀酰亚胺酯
叠氮二硫键羧酸,2228857-32-5
2563873-82-3,甲基二十四聚乙二醇叠氮
RB-PEG-COOH
154214-55-8,PKH-26 (RED) 外泌体示踪染料
mFluor Violet 540 WGA




齐岳微信公众号
官方微信
库存查询