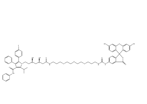
英文名称: 1H-Pyrrole-1-heptanamide, N-[15-[(3',6'-dihydroxy-3-oxospiro[isobenzofuran-1(3H),9'-[9H]xanthen]-5-yl)amino]-15-thioxo-4,7,10-trioxa-14-azapentadec-1-yl]-2-(4-fluorophenyl)-β,δ-dihydroxy-5-(1-methylethyl)-3-phenyl-4-[(phenylamino)carbonyl]-, (βR,δR)-
中文名称: Atrovastatin-PEG3-FITC
MF: C64H68FN5O12S
MW: 1150.33
CAS: 1440755-31-6

产品简介:
Atrovastatin-PEG3-FITC 是一种将他汀类药物阿托伐他汀(Atrovastatin)与荧光素(FITC)通过 PEG3 链偶联形成的功能性分子。阿托伐他汀是一种常用降脂药物,能够抑制 HMG-CoA 还原酶活性,通过 PEG3 链与 FITC 偶联,既保留药物分子活性,又赋予绿色荧光信号,实现药物分子在细胞或组织中的可视化追踪。PEG3 链提供一定空间隔离,降低荧光标记对药物结合靶点的干扰,同时增加水溶性和分子稳定性。
FITC 激发光约为 495 nm,发射光约为 520 nm,绿色荧光亮度高、光稳定性好,非常适合显微镜成像和流式细胞分析。Atrovastatin-PEG3-FITC 可用于研究药物与靶蛋白的结合位置、细胞摄取、药物分布以及药物递送系统性能评价。其小分子结构和 PEG3 链设计保证了药物在体内或体外实验中的靶向能力,同时荧光信号可清晰显示药物累积位置。
在应用方面,Atrovastatin-PEG3-FITC 常用于药物靶点验证、细胞摄取和内吞研究、药物递送体系评价及多色荧光成像实验。绿色荧光信号可与其他染料组合,实现多靶点观察和共定位研究。PEG3 链不仅提高水溶性,还可缓解荧光标记对药物活性的影响,使实验数据更加可靠。
实验使用注意事项包括:Atrovastatin-PEG3-FITC 对光敏感,应低温避光保存;染色或偶联实验需优化药物浓度和孵育时间,以保证细胞活性和信号强度;PEG3 链长度和偶联位置需确保荧光信号与药物功能兼顾。总之,Atrovastatin-PEG3-FITC 是一种兼具药物靶向功能和绿色荧光信号的小分子工具,为药物分布追踪、靶点分析及药物递送研究提供可靠的实验手段。
来源产地:中国 · 陕西 · 西安
包装规格:提供瓶装形式,常规规格包括 50 mg、100 mg、250 mg、500 mg,亦可根据实验需求提供定制包装。
产品形态:可提供固体、粉末或溶液三种形态,便于不同实验体系使用与操作。
储存说明:建议在低温避光、干燥环境下保存,以维持产品的稳定性和使用效果。
品牌介绍:西安齐岳生物科技有限公司专注于科研用药物递送与纳米材料相关技术的研发与生产。公司产品覆盖合成磷脂、PEG 衍生物、嵌段共聚物、纳米金属与磁性颗粒、介孔二氧化硅、活性荧光染料、荧光量子点、点击化学试剂及大环配体等多个系列。
齐岳生物秉承创新与质量并重的理念,为科研院所及相关实验单位提供可靠的试剂与材料支持,助力科学研究高效开展。
(资料整理:kx,仅限科研用途,不得用于人体、医疗或诊断。)
产品推荐:
Alexa Fluor WGA
Digoxigenin Succinimidyl Ester(地高辛活性酯,CAS号129273-26-3)
DSPE-PEG PEG-DSPE 磷脂-聚乙二醇
Cy3白藜芦醇,Cyanine3白藜芦醇
NOTA-3P-TATE-RGD
AF 555 NHS,AF 555 SE
mPEG-b-PLGA-HO
叠氮-十二聚乙二醇-氨基
IR800CW NHS,956579-01-4,IR800 NHS,IR红外染料
3,6-二氧基-(2S-顺式),35309-53-6,cyclo(Asp-Asp)




齐岳微信公众号
官方微信
库存查询