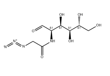
英文名称: 2-[(Azidoacetyl)aMino]-2-deoxy-D-glucose
中文名称: 2-[(叠氮基乙酰基)氨基]-2-脱氧葡萄糖
MF: C8H14N4O6
MW: 262.22
CAS: 92659-90-0

产品简介:
叠氮糖 是指在天然糖分子中引入叠氮(–N₃)官能团的糖类衍生物,广泛应用于生物正交化学、功能材料制备和糖基化研究中。叠氮基作为高活性官能团,使糖分子在保持天然生物识别功能的同时,可通过点击化学实现高效修饰。
分子结构与化学特性
叠氮糖通常在 C-1、C-2 或 C-6 位修饰叠氮基,形成糖分子的衍生物。叠氮基是一种应力促进的小分子基团,能够在温和条件下与末端炔基通过 CuAAC 或 SPAAC 反应生成三唑环。糖环本身提供生物识别位点,使其能够与糖受体结合,形成特异性相互作用。
叠氮糖在水和多种有机溶剂中溶解性良好,化学稳定性高,但在高温或强还原环境下叠氮基可能发生分解,因此操作和储存需要注意。
应用领域
正交化学与糖基化修饰
叠氮糖可通过点击化学与炔基分子偶联,实现糖基化修饰。其生物相容性和特异性使其成为蛋白质、抗体和纳米材料糖化的重要工具,用于研究糖-蛋白相互作用和细胞识别机制。功能性材料与水凝胶
将叠氮糖引入聚合物或水凝胶体系,可构建可控糖基化材料。通过调控叠氮糖含量和反应条件,可获得具有生物识别功能和可控物理性质的材料,用于组织工程和药物递送平台。分子探针与生物成像
利用叠氮糖与荧光或磁性分子偶联,可制备糖基化探针,实现靶向成像和分子追踪。其选择性结合糖受体的能力,提高了探针的识别特异性和信号强度。
使用注意事项
叠氮基具有潜在爆炸性,操作时需低温、避光,并避免摩擦或强酸强碱环境。储存条件通常为低温干燥,并使用惰性气氛保护,以保证叠氮基活性和安全性。反应过程中,应在适宜的缓冲体系或无水溶剂中进行。
前景展望
叠氮糖结合点击化学和糖基化修饰的优势,在生物标记、糖基化材料设计及药物递送领域具有广泛前景。其高效、选择性和多功能性为科研提供了可靠工具,有助于发展新型糖基化分子、功能性材料和生物探针技术。
来源产地:中国 · 陕西 · 西安
包装规格:提供瓶装形式,常规规格包括 50 mg、100 mg、250 mg、500 mg,亦可根据实验需求提供定制包装。
产品形态:可提供固体、粉末或溶液三种形态,便于不同实验体系使用与操作。
储存说明:建议在低温避光、干燥环境下保存,以维持产品的稳定性和使用效果。
品牌介绍:西安齐岳生物科技有限公司专注于科研用药物递送与纳米材料相关技术的研发与生产。公司产品覆盖合成磷脂、PEG 衍生物、嵌段共聚物、纳米金属与磁性颗粒、介孔二氧化硅、活性荧光染料、荧光量子点、点击化学试剂及大环配体等多个系列。
齐岳生物秉承创新与质量并重的理念,为科研院所及相关实验单位提供可靠的试剂与材料支持,助力科学研究高效开展。
(资料整理:kx,仅限科研用途,不得用于人体、医疗或诊断。)
产品推荐:
DBCO-PEG-azide N3-PEG-DBCO
SPDP-C6-NHS ester,158913-22-5
69075-42-9 5-Ethynyl uridine
854262-01-4 Propargyl a-D-mannopyranoside
钠离子荧光探针,CoroNa Green
ICG-Amine,1686147-55-6
TCO-PEG-TCO
Helix Fluor 575,N羟基琥珀酰亚胺酯
4-Arm PEG-Biotin 4-Arm peg-Biotin 四臂-聚乙二醇-生物素




齐岳微信公众号
官方微信
库存查询