cas:70-51-9 Deferoxamine 去铁胺 活性氧物种
发布时间:2023-03-29     作者:axc   分享到:
cas:70-51-9 Deferoxamine 去铁胺 活性氧物种
Deferoxamine (Deferoxamine B) 是一种铁螯合剂 (结合 Fe(III) 和许多其他金属阳离子),Deferoxamine 具有较好的抗氧化活性,可上调 HIF-1α 水平。
中文名称:Deferoxamine
英文名称:去铁胺
分子量:560.68
性状:Solid
分子式:C25H48N6O8
cas:70-51-9
运输条件:常温运输
储存方式:
粉末-20°C 3年;4°C 2年
在溶剂中-80°C 6个月;-20°C 1个月
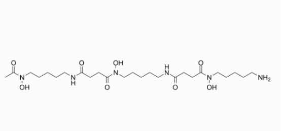
结构式:

活性氧是指机体内或者自然环境中由氧组成, 含氧并且性质活泼的物质的总称:主要有一种激发态的氧分子,即一重态氧分子或称单线态氧分子(O2)。
活性氧产品目录:
康唑,97% Elubiol Cas号:67914-69-6
3α-Hydroxy pravastatin sodium Cas号:81093-43-8
360A iodide Cas号:737763-37-0
幼枝含断氧化马钱子甙,GR Secoxyloganin Cas号:58822-47-2
纯度:95%+
包装:瓶装/袋装
用途:科研
厂家:西安齐岳生物
温馨提示:可以根据储存条件,适当保存;体内实验的工作液,建议您现用现配,当天使用
以上资料来自小编axc,2023.03.28
以上文中提到的产品仅用于科研,不能用于人体及其他用途。




齐岳微信公众号
官方微信
库存查询