DOPE-S-S-PEG3.4K 磷脂-SS-聚乙二醇 DOPE-SS-mPEG5000
发布时间:2023-05-22     作者:LYQ   分享到:
产品名称:
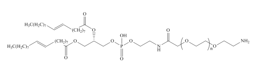
磷脂-双硫键-聚乙二醇 DOPE-S-S-PEG3.4K
别名:磷脂-SS-聚乙二醇 DOPE-SS-mPEG5000 聚乙二醇-双硫键-磷脂
稳定性:常温常压下稳定
PDI:1.05max
含量:95%+
DOPE-PEG结构式:

PEG衍生物的介绍:
PEG衍生物溶于水、乙醇和许多其它有机溶剂。 蒸气压低,对热、酸、碱稳定。 与许多化学品不起作用。 有良好的吸湿性、润滑性、粘结性。 无毒,无刺激。
西安齐岳生物科技有限公司可供常规磷脂单体、PEG磷脂,改性磷脂,荧光标记磷脂、聚合物磷脂、磷脂偶连无机纳米材料及微球类材料、单分散小分子PEG磷脂偶连产品,还可根据客户需要定制合成复杂及特殊的聚合物磷脂产品、两亲嵌段共聚物,磁性纳米颗粒,纳米金,荧光量子点及树枝状聚合物、PEG衍生物等等产品,更有许多的库存产品可供选择,详情请咨询客服。
包装:瓶装
厂家:西安齐岳生物科技有限公司
生产地址:西安
温馨提示:仅适用于科研
相关产品:
mPEG-Cholesterol
甲氧基聚乙二醇胆固醇
Cholesterol-PEG
甲氧基PEG胆固醇
mPEG-CLS
mPEG-胆固醇




齐岳微信公众号
官方微信
库存查询