mPEG2k-PLGA50K PLGA50:50 甲氧基聚乙二醇聚乳酸-羟基乙酸共聚物
发布时间:2023-06-07     作者:LYQ   分享到:
产品名称:
mPEG2k-PLGA50K PLGA50:50 甲氧基聚乙二醇聚乳酸-羟基乙酸共聚物
英文名称:mPEG-PLGA PLGA-PEG
中文名称:聚乙二醇聚乳酸-羟基乙酸共聚物
纯度:≥97%
取用:现配现用
存储条件:-20°冷冻保存,惰性气体保护
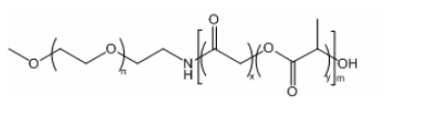
结构式:

产品描述:
PEG衍生物又称PEG(聚乙二醇)修饰剂,修饰性PEG等。是带有官能团的PEG,目前主要用于蛋白质物修饰,以增加体内半衰期,降低免疫原性。
产地:西安
包装:瓶装
厂家:西安齐岳生物科技有限公司
相关产品:
BHQ-1-PEG-TPP
磷酸三苯酯聚乙二醇黑洞猝灭剂
BHQ1-PEG2000-TPP
黑洞猝灭剂聚乙二醇磷酸三苯酯
TPP-PEG-BHQ-1
黑洞猝灭剂PEG磷酸三苯酯
TPP-PEG-BHQ1
黑洞猝灭剂-聚乙二醇-磷酸三苯酯
温馨提示:仅适用于科研实验,不可用于人体!




齐岳微信公众号
官方微信
库存查询