CAS:147867-65-0 DSPE-mPEG 甲氧基-聚乙二醇-磷脂酰乙醇胺
发布时间:2023-06-16     作者:zyl   分享到:
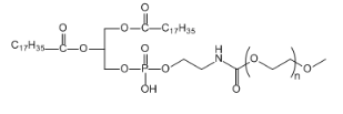
MPEG-DSPE 是DSPE(二硬脂酰磷脂酰乙醇胺)的PEG(聚乙二醇)衍生物,因聚乙二醇末端采用了甲氧基封端,使PEG部分失活不能继续反应,因此称为MPEG。

中文名称:甲氧基聚乙二醇-1,2-二硬酯酰-SN-甘油-3-磷酰乙醇胺
英文名称:mPEG-DSPE
CAS NO.: 147867-65-0
产品ID: 10449
产品纯度:
≥95%
产品用途:
应用于医学研究,药物释放,纳米技术和新材料研究,细胞培养。 以及配体研究,多肽合成支持,接枝高分子化合物,新材料和聚乙二醇改性功能涂层等活性化合物方面。
相关产品:
吲哚菁绿羧酸
花青素荧光染料CY5.5
磷脂PEG花青素Cy5.5
聚DL-丙交酯-聚乙二醇-马来酰亚胺
磺酸基Cy5-N-羟基琥珀酰亚胺酯
DSPE-PEOz
DSPE-PEG
甲氧基-酮缩硫醇-聚丙交酯
活性酯聚乙二醇叠氮
二硬脂酰基磷脂酰乙醇胺-聚乙二醇-靶向穿膜肽cRGD
磷脂-聚乙二醇-靶向穿膜肽iRGD
荧光素标记栀子苷
荧光染料CY3标记甘露糖




齐岳微信公众号
官方微信
库存查询