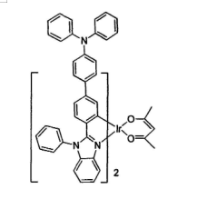
金属铱配合物 | (IrTPABPBI)2(acac) ; Ir(TPABPBI)2(acac) 黄色磷光材料
发布时间:2021-12-20     作者:zhn   分享到:
(IrTPABPBI)2(acac);
别称Ir(TPABPBI)2(acac)
一种黄色磷光材料

Ir(piq)3 (ppy:2-苯基吡啶,piq:2-苯基异喹啉)
CAS号:435293-93-9
英文名称:Ir(piq)3, Tris[1-phenylisoquinolinato-C2,N]iridium(III)

过渡金属配合物作为一种新型的材料,在生物化学领域得到广泛的应用.其中过渡金属铱配合物具有较大的斯托克位移,长发光寿命,高量子产率,可调控的发光波长等特点,被广泛的应用。
温馨提示:仅用于科研,不能用于人体实验!
以上资料来自互联网,如有侵权,请联系我们进行删除
仅用于科研




齐岳微信公众号
官方微信
库存查询