**荧光材料TADF-4CZTPN-Ph|cas1416881-53-2|2,3,5,6-四(9-咔唑基)-对苯二腈
中文名称: 2,3,5,6-四(9-咔唑基)-对苯二腈
密度 1.32±0.1 g/cm3(Predicted)
储存条件 Inert atmosphere,2-8°C Absorption λmax?328, 344, 485 nm in?toluene
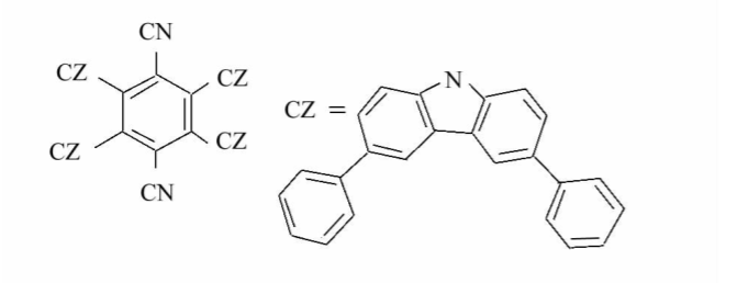
概述 4CzTPN,即2,3,5,6-四(咔唑-9-基)-1,4-二氰基苯,是4CzPN和4CzIPN的三种异构体之一。
说明:
4CzTPN-Ph是一种**的热激活延迟荧光(TADF)材料,其单重态和三重态电荷转移态(CTs)之间的能隙很小。4CzTPN-Ph为掺杂剂,以不同三重态激子(T_1)能量的材料为主体,空穴传输层(HTL)或电子传输层(ETL)制备了一系列4CzTPN-Ph掺杂有机发光二极管(oled)。在室温下,在不同的偏置电流下,以及在固定的注入电流下,在不同的温度下,测量了这些器件的磁电致发光(MEL)和磁电导(MC)。实验结果表明,当选择具有不同T|1能量的材料作为HTL、ETL和掺杂主体时,这些器件的MEL和MC在低磁场(|B | 20mT)内分别表现出不同的线型和不同的变化趋势
熔点 > 360 °C (lit.)
气味 (Odor) Orange powder/crystals
CAS号: 1416881-53-2
分子式: C56H32N6
分子量: 788.89

**荧光材料TADF-4CZTPN-Ph|cas1416881-53-2|2,3,5,6-四(9-咔唑基)-对苯二腈
**荧光材料4CZIPN-Ph对LED发光特性的影响
1)利用光致发光可以解决4CzTPN-ph升华温度高不利于实验的缺陷;
2)4CzTPN-ph可以被445 nm的蓝光芯片激发,发出600 nm左右的红光;
3)通过添加不同浓度的4CzTPN-ph,可以**地增加光谱中的红光成分,并且随掺杂浓度增加出现了光谱展宽现象,改善了器件的性能。
相关产品:
**荧光材料TADF-4CZTPN-Ph|cas1416881-53-2|2,3,5,6-四(9-咔唑基)-对苯二腈
DPEPO cas:808142-23-6 二[2-((氧代)二苯基膦基)苯基]醚
BCPO cas:1233407-28-7 Bis-4-(N-carbazolyl)phenyl)phenylphosphine oxide
AQ(PhDPA)2,b1 cas:1640978-33-1 2,6-双[4-二苯胺基苯基]-9,10-蒽醌
Ac-VPN cas:1784766-38-6 Ac-VPN
Px-VPN cas:1784766-39-7 4,5-双[4-(N-吩噁嗪)苯基]-1,2-二氰基苯
Ac-CNP cas:1883400-34-7 Ac-CNP
Px-CNP cas:1883400-36-9 Px-CNP
DMAc-MPM cas:1870041-76-1 2-甲基-4,6-双[4-(9,9-二甲基-9,10-二氢吖啶)苯基]嘧啶
DMAc-PPM cas:1870041-75-0 2-苯基-4,6-双[4-(9,9-二甲基-9,10-二氢吖啶)苯基]嘧啶
DPAc-MPM cas:2019165-20-7 2-甲基-4,6-双[4-(9,9-二苯基-9,10-二氢吖啶)苯基]嘧啶
温馨提醒:仅供科研,不能用于人体实验
以上资料来自西安齐岳生物小编ssl2022.1.18




齐岳微信公众号
官方微信
库存查询