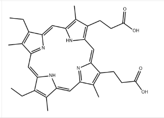
中卟啉Ⅸ,cas:493-90-3,分子量:566.69,金属卟啉配合物
发布时间:2023-12-08     作者:axc   分享到:
中卟啉Ⅸ,cas:493-90-3,分子量:566.69,金属卟啉配合物
英文名称:7,12-diethyl-3,8,13,17-tetramethyl-21H,23H-porphine-2,18-dipropionic acid
分子式:C34H38N4O4
分子量:566.69
cas:493-90-3
沸点1096.1±65.0 °C(Predicted)
密度:1.240±0.06 g/cm3(Predicted)
结构式

纯度:95%+
存储条件:-20°C,避光,避湿
外观:固体或液体,取决于分子量
厂家:西安齐岳生物
卟啉及其配合物具有多种物理性质。金属卟啉的颜色取决于金属离子的种类,通常呈现深紫色。卟啉化合物易溶于有机溶剂,不溶于水,但含有亲水基的卟啉化合物具有一定的水溶性。金属卟啉化合物的光谱吸收特征在紫外和可见光区域,其中Soret吸收带是由卟啉的允许跃迁能级间的跃迁引起的,而Q吸收带是由卟啉分子的准允许跃迁能级间的跃迁引起的。卟啉的红外和拉曼光谱可以用来确定卟啉化合物的结构和取代基的性质。卟啉及其金属配合物在溶液中易发生聚集作用和聚集态的光谱变化。同时,卟啉化合物还具有较大的环流效应,可以通过核磁共振和拉曼光谱等方法进行研究。
相关产品:
(卟啉-5,15-二基双(4,1-亚苯基))二硼酸
cas:290356-48-8
cas:133314-07-5
外消旋-四(邻二氯苯基)卟啉氯化铁
cas:91042-27-2
原卟啉镁IX二钾盐
cas:35979-27-2
温馨提醒:仅供科研,不能用于人体实验AXC.2023.12.01




齐岳微信公众号
官方微信
库存查询