产品名称 二琥珀酰亚胺碳酸酯聚乙二醇 SC-PEG-SC
中文名称 二琥珀酰亚胺碳酸酯聚乙二醇
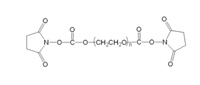
英文名称 SC-PEG-SC PEG-(bis) Succinimidyl ester
分子量 10000
溶解度 溶于水及大部分有机溶剂
存储条件 -20°冷冻保存,惰性气体保护
保存时间 一年
其它信息 固体
产品信息 SC-PEG-SC是与胺基反应的线性同双功能化PEG试剂,是NHS-PEG-NHS酯试剂的一种。 在我们提供的所有这些NHS酯中,SC是一种非常活泼的NHS酯。

关于我们:
西安齐岳生物科技有限公司是国内的PEG供应商,可以提供不同分子量的PEG衍生物,小分子PEG的循环节可以做到1-36个,高分子PEG分子量从1000-40000不等,产品分类二羧基聚乙二醇、二氨基聚乙二醇、二巯基聚乙二醇、二马来酰亚胺聚乙二醇、二活性酯聚乙二醇、二叠氮聚乙二醇、二丙烯酸酯聚乙二醇、二甲基丙烯酸酯聚乙二醇、二炔基聚乙二醇、二磷脂聚乙二醇、二硅烷聚乙二醇、二醛基聚乙二醇、二异氰酸酯聚乙二醇、二巯基吡啶聚乙二醇、二丙烯酰胺聚乙二醇、二生物素聚乙二醇、二聚乳酸聚乙二醇、二聚己内酯聚乙二醇、二丙交酯-乙交酯共聚物聚乙二醇、二叶酸聚乙二醇、二罗丹明聚乙二醇、二荧光素聚乙二醇、二酰胺氯聚乙二醇、二酰胺溴聚乙二醇、二酰肼聚乙二醇、二硫辛酸聚乙二醇、二环氧乙烷聚乙二醇、二对甲苯磺酸酯聚乙二醇、二叔丁酯聚乙二醇、二芘丁酸聚乙二醇、二硝基苯聚乙二醇、二酰胺碘聚乙二醇、二胆固醇聚乙二醇、二多巴胺聚乙二醇、二苯甲醛聚乙二醇、二聚乙二醇乙烯磺酸酯,产品纯度高达98%以上。
产品名称
PEG-DMA
二异氰酸酯聚乙二醇
NCO-PEG-NCO
二磷脂聚乙二醇
DSPE-PEG-DSPE
二对甲苯磺酸酯聚乙二醇
二胆固醇聚乙二醇
CLS-PEG-CLS
二生物素聚乙二醇
Biotin-PEG-Biotin
二叔丁酯聚乙二醇
COOtBu-PEG-COOtBu




齐岳微信公众号
官方微信
库存查询